Coexistence, a focus on sustainable human-wildlife landscape sharing with minimal conflict through integrated conservation and community approaches, is a dynamic process aiming for lasting solutions. This study evaluated a jaguar conservation program in southeastern Mexico to promote coexistence with cattle ranchers by: a) understanding pre-intervention conflict levels; b) assessing the effectiveness and cost-benefit of predation mitigation (electric fences, nighttime enclosures); c) documenting jaguar occurrences in the intervened ranches; and d) analyzing changes in local ranchers' acceptance of jaguars. Findings indicate well-planned, context-sensitive actions in high-conflict areas can foster coexistence. Ranchers showed initial neutral to positive views and acceptance to adopt better practices. Post-intervention, significant livestock predation reduction with a favorable cost-benefit ratio was observed, along with jaguar presence in 61% of intervened ranches and greater rancher acceptance with less inclination to kill jaguars. This evaluation, demonstrating positive shifts in acceptance of jaguars and management actions and reduced conflict through targeted interventions, serves as a reference for projects integrating economic loss mitigation, species presence, and improved human tolerance in human-modified landscapes.
Large carnivores are among the wildlife groups most prone to conflicts with humans on a global scale (Braczkowski et al., 2023; Dickman et al., 2013; Inskip and Zimmermann, 2009). Despite their key role in ecosystem functioning as top-down regulators of prey populations, these species face numerous threats, including habitat loss and fragmentation, climate change, prey depletion, and conflict with people (Ripple et al., 2014). Because of their large spatial requirements, these species frequently move beyond well-conserved areas into human-dominated landscapes, including livestock ranches and agricultural lands (Nyhus and Tilson, 2004; Woodroffe and Ginsberg, 1998). Since the expansion of livestock ranching, large carnivores have been intensely persecuted by humans (Braczkowski et al., 2023; Davoli et al., 2022; Dheer et al., 2021; van Eeden et al., 2018). As large carnivores increasingly inhabit human-modified areas, their presence often creates conflict zones within these landscapes (Dolrenry et al., 2020; Kissui, 2008).
In the Americas, conflicts between jaguars (Panthera onca) and humans are prominent. Raising livestock is one of the main economic activities for rural communities that coexist with jaguars (Conforti and Azevedo, 2003; de la Torre et al., 2021; Rosas-Rosas and Valdez, 2010; Soto-Shoender and Giuliano, 2011; Zimmermann et al., 2005). The loss of domestic cattle by jaguar predation affects the livelihoods of rural communities and has significant repercussions for jaguar conservation, as jaguars are often killed in retaliation (Marchini et al., 2016; Marchini and Macdonald, 2012; Rubio Rocha et al., 2023). This practice is widespread among ranchers living in areas where jaguar populations persist, and it is justified as a means of protecting their livestock.
As a response to reduce conflicts with jaguars, various conservation initiatives have been implemented through strategies such as improved livestock management and the use of predator-proof enclosures (Corrales-Gutiérrez et al., 2016; de la Torre et al., 2021; Hoogesteijn et al., 2016; Polisar et al., 2025; Valderrama-Vasquez et al., 2024). Despite these efforts, clearer indicators are still needed to assess the effectiveness of such initiatives (van Eeden et al., 2018). The value of coexistence efforts with jaguars and other large carnivores is widely recognized (Polisar et al., 2025), yet scientific documentation of successful interventions is limited. To foster effective coexistence, it is essential to compile case studies showcasing successful examples.
Coexistence, defined as a sustainable strategy where humans actively choose to share landscapes and resources with wildlife (Dickman, 2010; IUCN, 2023; Zimmermann et al., 2020), requires the integration of conservation with human well-being through community-based approaches and stakeholder cooperation (IUCN, 2023). Rather than a fixed state, coexistence is a dynamic process aimed at transforming conflict into lasting solutions locally and across landscapes (IUCN, 2023). This umbrella concept also encompasses “tolerance” (Expósito-Granados et al., 2019), defined as the passive acceptance of risks and damages caused by wildlife (Bruskotter and Wilson, 2014), which represents a necessary condition for achieving coexistence.
This study evaluates a jaguar conservation program implemented in southeastern Mexico aimed at reducing human-jaguar conflict. We assessed the conflict context and the intervention's impact by a) analyzing the level of conflict in the intervened area; b) evaluating the effectiveness and cost-benefit of implemented mitigation measures on jaguar predation; c) documenting jaguar occurrences; and d) examining changes in local ranchers’ acceptability of jaguars before and after intervention. This evaluation provides a framework that includes indicators such as economic loss mitigation, species presence, and human tolerance. Within the conflict and coexistence framework, we expect successful mitigation to result in: a) reduced livestock predation losses; b) intervention costs lower than future losses; c) sustained jaguar presence; and d) increased rancher acceptance toward jaguars.
MethodsStudy areaThe study was conducted in the southern Mayan Forest, within the Greater Lacandona Ecosystem in Chiapas, Mexico (Fig. S1). The region is dominated by tropical rainforest (Ibarra-Manríquez and Martínez-Ramos, 2002), but jaguar habitat is increasingly threatened by cattle ranching expansion. Jaguars in this area use both protected and ejido lands (see Fig. S1), resulting in human-jaguar conflicts with livestock ranchers in these interface areas (de la Torre et al., 2017).
Human-jaguar conflict mitigation programEstablished in 2016 in response to increasing human-jaguar conflict in the Greater Lacandona Ecosystem, the “Jaguares de la Selva Maya” program aims to ensure long-term jaguar conservation by addressing key threats through collaborative initiatives with Natural Protected Area administrators and relevant agencies. From 2021 to 2024, the program implemented activities to promote human-jaguar coexistence which included: 1) Capacity building for livestock owners; 2) Jaguar predation deterrents; 3) Community-based monitoring of jaguars and their prey; 4) Environmental education; and (5) Informative talks (Fig. 1). A detailed description of the human–jaguar conflict mitigation program is provided in Appendix S1.
Flow chart illustrating the methodology followed in this study, which includes four main stages: (I) conflict level assessment; (II) intervention actions; and (III) evaluation. Intervention actions comprised: (1) capacity building; (2) predation deterrents; (3) community monitoring; (4) environmental education; and (5) informative talks. The evaluation was based on four aspects: (1) number of predation cases before and after the intervention; (2) cost–benefit analysis of predation deterrents; (3) jaguar occurrence in the intervened ranches; and (4) changes in jaguar acceptance before and after the intervention.
To monitor the effectiveness of deterrents, the team conducted bimonthly visits to cattle owners to record new predation events and assess the functionality of the predation deterrents which included electric fences and night enclosures (Fig. 1; and see a detailed description of the implementation of jaguar predation deterrents in Appendix S2). During these visits, data on livestock numbers, fencing design, new predation incidents, intervention functionality and costs, and adoption of new livestock management practices post-training were collected (Appendix S2).
Jaguar and other predator presence on intervened ranches was assessed using 19 camera-trap stations across 13 ranches and adjacent areas, and through terrestrial transects, to verify species occurrence after project implementation (see more details in Appendix S3). Camera traps were placed opportunistically with the assistance of trained community members, with the aim of maximizing detection probability.
Baseline data on ranchers' perceptions of jaguars were collected through 100 interviews, prior to intervention actions, from March to May 2022 across eight ejidos (a communal land tenure system in which land is collectively owned by a legally recognized community; individual members hold rights to use and manage specific parcels, while major decisions regarding land use and governance are made collectively) (Fig. 1). A follow-up evaluation in September 2023, after the intervention actions, assessed changes in human-jaguar interactions and ranchers' perceptions by comparing responses from the same participants to specific questions from the initial survey. The questionnaire examined human-jaguar coexistence, conflict economic impacts, jaguar knowledge, psychological factors, livestock management, and wildlife valuation. The baseline survey was conducted using snowball sampling (80% men, 20% women), followed by purposive sampling in the second evaluation to assess changes in ranchers’ acceptance of jaguars and management actions after the intervention. In accordance with ethical research standards, all participants provided written informed consent prior to the start of the interviews.
Data analyses and evaluation of the mitigation activitiesTo assess conflict levels (dispute, underlying conflict, deep-rooted conflict), we analyzed 34 questions from the initial rancher questionnaire, evaluating five key categories as proposed by Zimmermann et al., 2020: (i) jaguar perceptions, (ii) human-jaguar conflict situation, (iii) history of mitigation attempts, (iv) willingness to find solutions, and (v) perceptions of other stakeholders (Fig. 2; Table S1). Conflict level was determined based on responses within these categories using predefined criteria (Zimmermann et al., 2020).
Summary of the level of conflict evaluation. The percentage represents the level of agreement of respondents with the questions related to each of the five main topics. Shades closer to green indicate higher levels of agreement, whereas shades closer to red indicate lower levels of agreement.
The success of jaguar predation deterrents was evaluated by 1) monitoring predation cases pre- and post-intervention; 2) cost-benefit analysis; and 3) jaguar presence on intervened ranches. Changes in predation rates were analyzed using a generalized linear mixed model with a negative binomial distribution (de la Torre et al., 2021). The number of predated animals (normalized per month) was the response variable, mitigation treatment (before/after) the fixed effect, and ranch the random effect. A likelihood ratio test assessed statistical significance (see Appendix S2). This analysis was performed in R using “MASS” package (R Core Development Team, 2019; Venables and Ripley, 2002).
The cost-benefit ratio of electric fences and nighttime enclosures (10-year lifespan) was assessed by comparing material costs to the economic benefit of livestock protection (based on historical data; de la Torre et al., 2021). A ratio > 1.0 indicated economic benefit. Jaguar presence and detections on ranches measured intervention effectiveness and landowner tolerance (see Appendix S3).
To evaluate jaguar acceptability, we used the Wildlife Acceptance Capacity (WAC) and Acceptability of Management Actions (AMA), which are normative belief metrics commonly applied as proxies for tolerance (Brenner and Metcalf, 2020) and predictors of behavioral intentions toward wildlife (Bruskotter et al., 2015). Changes in WAC and AMA before and after the intervention were assessed using ordinal logistic regression (proportional odds model). Responses were coded as an ordered categorical variable ranging from least positive (e.g., kill the jaguar) to most positive (e.g., do nothing). The predictor variable was time (before vs. after the intervention), and odds ratios (OR) with 95% confidence intervals (CI) were calculated to estimate the likelihood of selecting more positive categories after the intervention. This analysis and the figures were conducted in R using “MASS” and “ggplot2” packages (R Core Development Team, 2019; Venables and Ripley, 2002; Wickham, 2016).
Resultsa) Level of conflict evaluationConflict analysis reveals a “dispute” level of human-jaguar conflict, with mostly positive or neutral perceptions of jaguars (Fig. 2). Notably, 52% reported positive experiences, 69% had no negative encounters, and 42% enjoyed coexisting with jaguars. A strong majority, 78%, would protect an injured jaguar, and 73% empathize with them during a predation event. Most also disagreed with feeling no pity for jaguars in trouble. However, responses revealed a mix of situational concern, fear, and respect towards jaguars. Fear was noted when hearing a roar (52%) or finding tracks (37%). Concern stemmed from tracks in cattle pastures (28%) and reports of livestock attacks (33%). Anger was felt by 41% if their livestock were attacked. Reactions to the killing of a problematic jaguar included sadness (22%), happiness (20%), anger (16%), and displeasure (9%).
Regarding the conflict situation, economic losses due to jaguar predation were a major concern, reported by 61% of ranchers in the last five years. While 38% considered the presence of jaguars somewhat costly and 30% costly for the community, 66% reported jaguars visiting their pastures at least once, though most (72%) did not perceive an increasing trend of jaguars approaching communities. Opinions on the frequency of human-jaguar interactions varied, with 27% believing they increased in the last five years. Notably, 52% did not consider jaguars dangerous to humans despite predation concerns.
Past conflict mitigation efforts were viewed neutrally, with 93% considering jaguar killing as a mitigation strategy. Other methods like electric fences (40%), hazing (52%), moving cattle (51%), and the Livestock Insurance Fund (46%) were seen as potentially effective. However, 86% had not reported predation to the Livestock Insurance Fund, and those who did were largely dissatisfied. While recognizing killing as a potential strategy, 46% found it ineffective. Ranchers were open to assistance and willing to modify practices, but 75% lacked information on attack prevention, mainly learning from NGOs (18%) or neighbors (5%). Some invested in prevention (30%) or management adjustments (33%) after attacks. Most ranchers (61%) admitted limited jaguar knowledge, relying on personal experience (55%), yet 81% expressed interest in learning more and improving coexistence.
b) The implemented mitigation measures' effectiveness, costs, and benefits in reducing jaguar predationMonitoring of pilot ranches revealed limited predation incidents after the intervention (Table 1). Analysis showed a significant decrease in predation rates post-intervention (χ2 = 4.61, P < 0.05), indicating the effectiveness of electric fences and nighttime enclosures. In all cases, predation events recorded after intervention occurred either outside the area protected by the electric fence or because the animals had not been secured within the nighttime enclosures. The average material cost per ranch was USD 943 (range: 656–1259), with an estimated average annual saving of USD 1534 (range: 176–4320) due to avoided predation. The average cost-benefit ratio was highly favorable at 16.7 (range: 1.4–65.9). Furthermore, eight pilot ranches implemented practices from training workshops, including: (1) farm management plans, (2) better animal nutrition (silage, tree forage, supplements), (3) pasture division with electric fencing, (4) deworming and vaccination schedules, and (5) protein banks.
Number of predation cases per ranch, cost of the intervention, and cost-benefit of the intervention in the 13 ranches intervened to avoid predation of jaguars upon livestock.
| Ranch ID | Locality | Number of cattle losses in the ranch before the intervention | Year of first depredation incidents before the intervention | Year of intervention | Average depredation incidents per year before the intervention | Type of intervention | Total cost of the intervention (materials) (USD) | Number of livestock losses in the ranch after the intervention | Total monitoring time (years) | Average depredation incidents per year after the intervention | Benefit cost ratio |
|---|---|---|---|---|---|---|---|---|---|---|---|
| FRAN-LOP-01 | Adolfo Lopez Mateos | 7 calves | 2017 | 2019 | 4 | Electric fence | $1025 | 2 foals | 3.2 | 1 | 21.1 |
| RIGO-LOP-02 | Adolfo Lopez Mateos | 17 calves | 2016 | 2019 | 4 | Electric fence | $1096 | 0 | 4.9 | 0 | 20.9 |
| FELI-FLO-01 | Flor de Marques | 2 sheep | 2023 | 2023 | 2 | Electric fence | $1259 | 2 sheep | 0.5 | 4 | 1.4 |
| PEPE-FLO-02 | Flor de Marques | 3 calves | 2020 | 2022 | 1 | Electric fence | $1015 | 0 | 1.7 | 0 | 5.3 |
| SAMU-QUI-01 | Quiringüicharo | 14 sheep | 2017 | 2022 | 2 | Electric fence | $744 | 13 sheep | 1.1 | 12 | 2.7 |
| MANU-QUI-02 | Quiringüicharo | 15 sheep | 2022 | 2022 | 15 | Night enclosure | $1023 | 0 | 1.2 | 0 | 11.5 |
| GAMA-COR-01 | La Corona | 8 calves | 2022 | 2022 | 8 | Electric fence | $1187 | 0 | 1.3 | 0 | 36.4 |
| LEYV-VIC-01 | La Victoria | 8 calves | 2023 | 2023 | 8 | Electric fence | $656 | 0 | 0.6 | 0 | 65.9 |
| LEON-LOP-03 | Adolfo Lopez Mateos | 17 calves, 1 cow, 2 foals | 2019 | 2023 | 4 | Electric fence | $880 | 0 | 0.5 | 0 | 25.4 |
| SOFI-LOP-04 | Adolfo Lopez Mateos | 2 calves | 2022 | 2023 | 1 | Electric fence | $1010 | 0 | 0.3 | 0 | 5.8 |
| TELE-SAN-01 | San Isidro | 27 sheep | 2016 | 2023 | 3 | Electric fence | $905 | 0 | 0.2 | 0 | 3.0 |
| TOMA-PIC-01 | Pico de Oro | 4 calves | 2022 | 2023 | 2 | Electric fence | $680 | 0 | 0.2 | 0 | 16.6 |
| CARO-LOP-05 | Adolfo Lopez Mateos | 2 calves | 2022 | 2023 | 1 | Electric fence | $780 | 0 | 0.1 | 0 | 6.9 |
Jaguars were documented in 8 of the 13 intervened ranches (61%) during follow-up visits and camera-trap surveys. In two ranches, detections were based on tracks along transects, while in six ranches jaguars were recorded by camera traps. In total, with the camera traps we obtained 11 independent records, yielding a relative abundance index of 2.08 jaguars per 1000 camera-trap days. A total of 7 jaguars (4 females and 3 males) were identified in the videos obtained by camera traps post-intervention, though the actual count might be 5 females and 4 males, considering that some individuals were only photographed from one side.
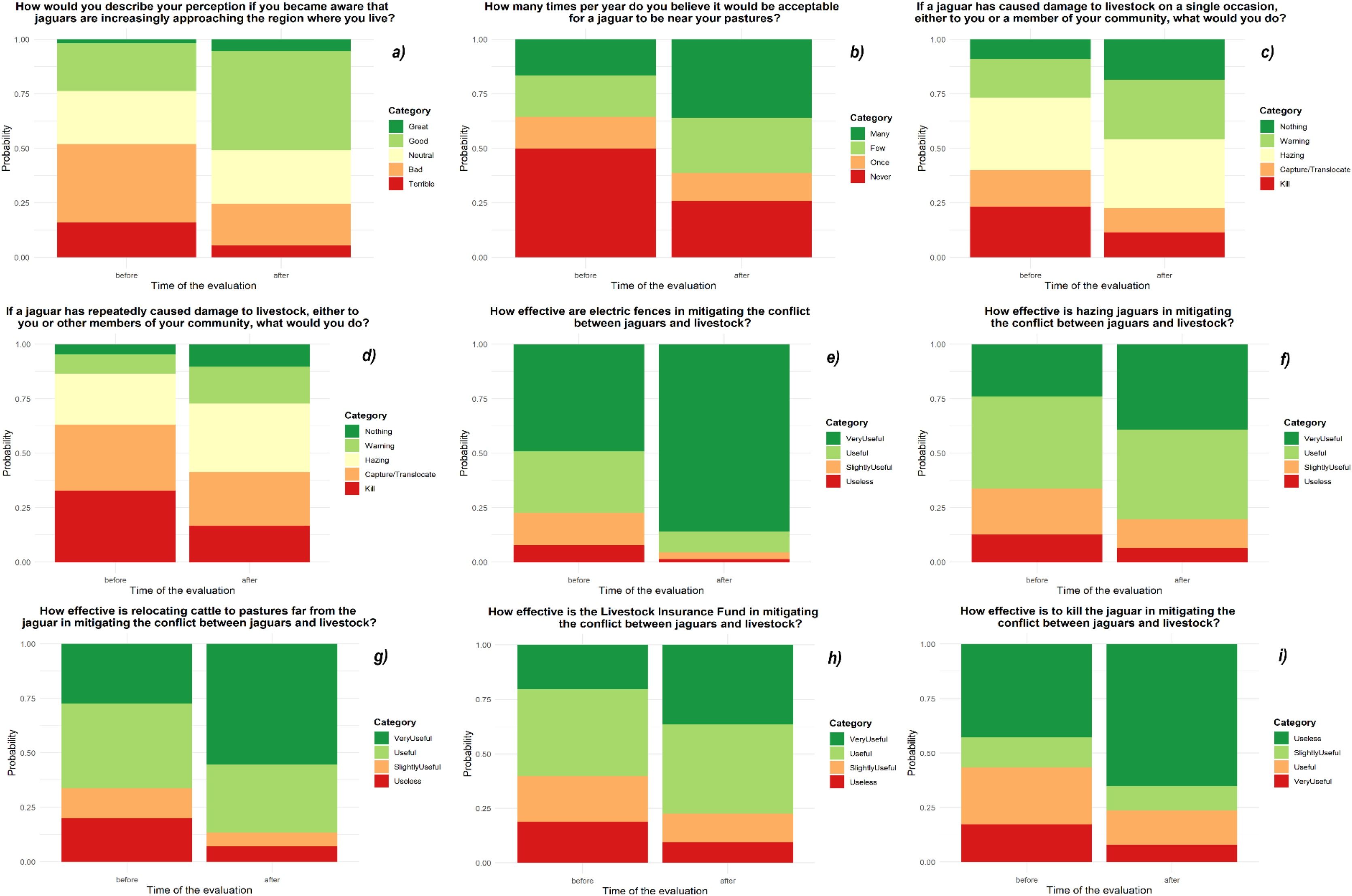
d) Ranchers’ perceptions about jaguars before and after the interventionFollowing the intervention, the evaluation showed a significant increase in the WAC of among ranchers (Fig. 3; Table S2). A larger proportion believed that jaguars' presence was beneficial (t = −4.46, p < 0.0001), and ranchers were more willing to accept them near cattle pastures (t = −3.74, p < 0.001). Remarkably, fewer ranchers would choose to kill a jaguar after a single predation incident (t = −3.12, p < 0.001), with more preferring to do nothing. When faced with repeated attacks, more individuals opted for inaction or hazing the jaguar. Conversely, the choice to kill the jaguar showed a significant decrease (t = −3.06, p < 0.01).
Stacked bar charts showing respondents’ answers before and after the intervention for questions related to Wildlife Acceptance Capacity (a, b, c, d) and Acceptability of Management Actions (e, f, g, h, i). The probability represents the level of respondents’ acceptance, where colors closer to green indicate more positive responses toward jaguar acceptance capacity or acceptability of management actions, and colors closer to red indicate less positive responses. It is noteworthy that after the intervention, responses were generally more positive regarding both jaguar acceptance and acceptability of management actions.
Furthermore, after the intervention, we documented a significant increase in the AMA. Ranchers' perceptions of strategy effectiveness also shifted. The perceived effectiveness of electric fences increased significantly (t = 5.05, p < 0.0001). Similarly, there was a significant increase in the perceived effectiveness of hazing jaguars (t = −2.63, p < 0.01), moving livestock (t = −4.30, p < 0.0001), and the Livestock Insurance Fund (t = −2.95, p < 0.01). Aligning with this, a significantly larger number of ranchers considered killing jaguars an ineffective strategy (t = −3.92, p < 0.01).
DiscussionOur evaluation provides compelling evidence for effective strategies in fostering human-jaguar coexistence in conflict-prone areas. Well-planned, context-sensitive actions, following a prior socio-environmental assessment, shifted local dynamics toward coexistence by fostering greater acceptance of jaguars and increasing ranchers’ acceptability to adopt improved practices and engage in conservation. Post-intervention assessments revealed a significant reduction in livestock predation due to effective measures like electric fences and nighttime enclosures which showed a favorable cost-benefit ratio. Jaguar presence was documented at most intervention sites, indicating that reduced predation was not due to the absence of jaguars, but rather was associated with increased acceptance and a reduced inclination among ranchers to kill jaguars involved in predation.
To understand the broader implications of these findings, it is crucial to consider the concept of coexistence itself. Coexistence involves sustainable strategies for sharing human-wildlife landscapes with minimal conflict, integrating conservation with community well-being. It requires an active choice from humans to share resources with wildlife, and denotes cooperation among diverse groups (Dickman, 2010; Zimmermann et al., 2020). Our intervention increased local acceptance of jaguars among ranchers, highlighting the effectiveness of deterrents. As a result, killing jaguars was less viewed as a solution, leading to a greater willingness to share the landscape. While not universal, this trend among ranchers indicates that targeted interventions can promote coexistence with conflict-prone species, aiding their persistence in human-modified landscapes, as evidenced by jaguar presence in most treated ranches and surrounding areas.
Rather than a static point on a conflict spectrum, coexistence is a dynamic process that transforms conflict into long-term solutions at both local and landscape scales (IUCN, 2023). While our interventions in the region showed positive results, full harmony has yet to be achieved. True coexistence requires long-term strategies to reduce negative human-wildlife interactions. Establishing conservation agreements with local ejidos, focusing on species protection and community well-being, is essential. In the context of this study, 12 ejidos signed an agreement for jaguar conservation, which includes a livestock predation reporting mechanism. This collaborative approach aims to decrease retaliatory killings and promote coexistence between communities and conflict-prone wildlife.
Our evaluation demonstrated the effectiveness of electric fences and nighttime enclosures in significantly reducing livestock predation on intervened ranches. This aligns with findings on similar techniques for jaguars and other large carnivores (Corrales-Gutiérrez et al., 2016; de la Torre et al., 2021; Hoogesteijn and Hoogesteijn, 2010; Polisar et al., 2025; Valderrama-Vasquez et al., 2024). Recognizing that deterrents are not universally applicable, successful conflict-reduction strategies require building long-term trust with local communities through regular evaluation and adaptation. A key lesson is the importance of trust-building via rancher training and community discussions, fostering agreements that benefit both people and jaguars. Strong relationships that address economic well-being are crucial for interventions aimed at win-win coexistence.
We acknowledge potential biases in this study due to our conservation science background, which may have influenced perceptions of community attitudes toward jaguars. Future research should adopt interdisciplinary and participatory approaches for a better understanding of sociocultural dynamics in human-wildlife conflict. Another potential limitation of this study is the lack of pre-intervention data on jaguar occurrence, which prevents a reliable comparison of presence before and after the intervention. This limitation stems from the fact that ranches joined the program only after experiencing predation. This reactive recruitment made it impossible to identify evaluation sites in advance; nevertheless, the predation events themselves confirm that jaguar presence was at least suspected. Despite this, our findings provide crucial empirical evidence for the effectiveness of coexistence interventions, informing the design of socially inclusive conservation strategies. Regarding the debate on intervention, our findings highlight the effectiveness of well-designed community-integrated coexistence interventions during escalating conflicts, but emphasize the need for context-sensitive approaches to prevent unintended intensification of conflicts (Zimmermann et al., 2020).
Our evaluation demonstrates that well-designed interventions can enhance coexistence between carnivores and humans. Moreover, this approach can be scaled up to other regions and contexts by prioritizing the following principles: 1) effective human–predator coexistence cannot rely on isolated measures such deterrents; instead, it requires comprehensive frameworks that address the real costs of coexistence and ensure sustained technical and financial support for affected communities; 2) co-designing interventions with affected stakeholders ensures social appropriateness, strengthens local ownership, and fosters shared responsibility in both implementation and evaluation; 3) targeted measures should be implemented based on conflict level assessments; 4) evaluating stakeholder perceptions before and after interventions is essential to determine whether acceptance toward carnivores improve following conservation programs; 5) establish community-based agreements to promote harmony between local populations and wildlife; 6) building strong relationships with communities by addressing their economic well-being and livelihoods is fundamental for long-term intervention success; 7) maintaining ongoing feedback through socio-environmental assessments and open dialogue with communities enhances adaptive management. Coexistence projects should actively strive for win-win outcomes that benefit both the targeted species and the involved communities.
The authors declare that they have no known competing financial interests or personal relationships that could have appeared to influence the work reported in this paper.
We greatly appreciate the financial support of the US Fish and Wildlife Service Latin American Regional Program for the implementation of the intervention actions and the evaluation. We would like to thank all the staff of Natura Mexicana and Bioconciencia A.C. for their helpful assistance during the entire process of this study. We appreciate the assistance of Angela Hurtado in editing the graphical abstract. This paper was written during the postdoctoral stay of J.A. de la Torre (CVU 175567) at Universidad Autónoma Metropolitana Unidad Lerma supported by SECIHTI-México. The feedback from two anonymous reviewers greatly improved this manuscript.








