Mutualistic interactions (e.g., pollination) are essential for maintaining biodiversity and ecosystem functioning, yet they are increasingly threatened by global climate change (GCC). In this study, we use species distribution models and range overlap analyses to assess the potential impacts of future GCC on hummingbird-plant co-occurrence networks across Mexico. To do this, we estimated temporal beta diversity to evaluate changes in community composition over time and tested how phylogenetic diversity (PD) relates to network structure—measured as species richness, number of links, and robustness—across space and time. Overall, we observed that GCC could drive important reductions of distribution areas (>10%) in more than 50% of hummingbird and plant species, leading to increased mismatch of their co-distribution patterns and reduced species richness, PD, and plant robustness in hummingbird-plant co-occurrence networks. Within assemblages, hummingbird PD was negatively related to change in hummingbird and plant richness but positively influenced future plant robustness, and plant PD was positively related to niche overlap. Our findings underscore the importance of preserving phylogenetic diversity as a buffer against climate-driven disruptions in species interactions and call for conservation strategies that incorporate multiple dimensions of biodiversity to maintain the integrity of mutualistic networks under GCC.
Mutualist interactions like pollination are fundamental for ecological processes, community dynamics, and ecosystem functioning, thereby playing a key role in the evolution and maintenance of biodiversity (Dehling et al., 2022). Nevertheless, pollinators and their associated interactions with plants face a global crisis (Vasiliev and Greenwood, 2021), partly attributable to global climate change (GCC). This global threat accelerates population declines, increases extinction risk, alters or contracts species ranges, and generates spatial and phenological mismatches between pollinators and flowering plants (e.g., Lovejoy and Hannah, 2019). Such changes alter community structure and function (Vasiliev and Greenwood, 2021) and have profound impacts for both biodiversity and human well-being (Purvis et al., 2019).
Hummingbirds are highly vulnerable to global changes due to their high metabolic demands, specialized ecological requirements, and strong dependence on specific flowering plants for food (Prieto-Torres et al., 2021a; Remolina-Figueroa et al., 2022). Hummingbirds pollinate nearly 15% of plant species in the Americas (Able, 2000). However, nearly 60% of hummingbird species face important population declines (IUCN, 2024), and extinction risk projections under future climate scenarios are not optimistic (Chávez-González et al., 2020; Prieto-Torres et al., 2021a). While Remolina-Figueroa et al. (2022) showed that climate warming can disrupt hummingbird-plant co-occurrence networks in Mexico by reducing species richness and niche overlap and leading to more specialized and less redundant interactions, the general drivers of such vulnerability remain poorly understood. Nonetheless, the extent to which evolutionary history and key ecological drivers shape the vulnerability of hummingbird–plant communities and their interactions under climate change remains largely unclear (Sonne et al., 2022).
Approaches that integrate indicators from multiple biodiversity levels (e.g., phylogenetic and functional structure within ecological assemblages) have increased over the past decade (e.g., Martín-González et al., 2015; Vitória et al., 2018). These indicators provide essential information by capturing not only species richness but also the distribution of traits and evolutionary history, which underline ecosystem processes, stability, and recovery from disturbance (Dehling et al., 2022). Incorporating phylogenetic diversity (PD; i.e., diversity of evolutionary lineages) reveals ecological and evolutionary patterns of community assembly as a proxy for ecosystem resilience to environmental changes (Webb et al., 2002). Communities with diverse evolutionary lineages usually encompass a broader range of traits and responses, so high PD increases the likelihood that some species will persist and maintain ecological functions under environmental change (Dehling et al., 2022). This has led researchers to focus on how evolutionary history and ecological factors (temperature, precipitation, etc.) influence the structure of interaction networks (Vitória et al., 2018; Cavender‐Bares et al., 2009). The well-known tendency for closely related species to exhibit more similar phenotypes, spatial distributions, and ecological interactions than distantly related ones suggests that niche conservatism might be a key factor in how evolution structures biotic interactions (Webb et al., 2002; Rezende et al., 2007; Corro et al., 2021). For instance, the structure of hummingbird-plant network has been consistently linked to species richness and phylogenetic signal (Martín-González et al., 2015).
In this work, we address three main questions: (1) How could future GCC impact the structure and organization of hummingbird-plant co-occurrence networks across Mexico? (2) Are changes in diversity patterns and network metrics (e.g., robustness, number of links, and niche overlap) related to environmental variables (e.g., elevation, annual temperature, and precipitation seasonality)? and (3) Does variation in phylogenetic diversity (PD) influence the susceptibility of hummingbird–plant co-occurrence networks to future GCC? We hypothesize that species-specific responses to GCC (e.g., elevational and size distributional shifts; Lovejoy and Hannah, 2019) will drive changes in network structure (including species richness, number of links, robustness, and niche overlap) and may increase mismatch in species co-occurrence (Remolina-Figueroa et al., 2022; Sonne et al., 2022). Furthermore, because high PD has been associated with greater ecosystem resilience and functional stability, we expect communities with high hummingbird and plant PD to be less vulnerable to future GCC (Meynard et al., 2011). By analyzing the ecological and phylogenetic structure of hummingbird–plant relationships under GCC, this study provides actionable insights for conservation strategies that integrate multiple dimensions of biodiversity to preserve the integrity of hummingbird-plant relationships.
MethodsSpecies data gathering and distribution modelingWe selected 48 non-migratory hummingbirds (Arizmendi and Berlanga, 2014) and 371 plant species used as their nectar resources (see Appendix S1). We modeled species distributions using five main steps which are detailed in Appendix S2: 1) data cleaning; 2) definition of the historical area of accessibility (“M”; Soberón and Peterson, 2005) for model calibration and projection; 3) distribution modeling using MaxEnt ver. 3.4.3 (Phillips et al., 2017) to estimate suitability areas; 4) generation of binary presence-absence maps for current and future (2040s – 2080s) climate scenarios; and 5) evaluation of the final distribution maps. Only species with 10 or more independent occurrence points were included in this study, resulting in a total of 1,107,879 unique occurrence records (minimum: 9; median: 357 ± 604.2; maximum: 4704) for all species (Appendix S3).
All modeling processes were performed using the “kuenm” R package (Cobos et al., 2019), based on climate data from Worldclim project 2.1 (Fick and Hijmans, 2017) and the Coupled Model Intercomparison Project 6 (CMIP6; Stoerk et al., 2018). Although several studies have highlighted the uncertainties associated with different modeling algorithms (see Qiao et al., 2015), we selected MaxEnt because it is particularly well-suited for presence-only data (Elith et al., 2011) and allows parameter calibration to assess model complexity by selecting the most appropriate settings (see Cobos et al. (2019) for a complete explanation). All parameter settings —including occurrence numbers, predictors, feature classes, and regularization multipliers— as well as the performance values for each model are detailed in Appendix S3. Additionally, although recent studies indicate that extreme scenarios (RCP8.5 and SSP5-8.5) may also be plausible (Steffen et al., 2018; Schwalm et al., 2020), we adopted a conservative approach by using an intermediate pathway described in the IPCC special report (IPCC, 2022). Therefore, we based our future climate projections on the intermediate Shared Socio-economic Pathway scenario (SSP3-7.0), which represents high greenhouse gas emissions combined with low climate change mitigation efforts (Riahi et al., 2017).
Species co-occurrence patterns and network analysisBy overlaying species distribution models onto a 5 × 5 km² equal-area grid, under both current and future (2040s–2080s) scenarios, we constructed a site × species presence-absence matrix (PAM) as a first step to identify the spatial patterns of hummingbird–plant assemblages. These PAMs were generated under two different dispersal assumptions: “contiguous dispersal” vs. “non-dispersal” (see Appendix S2). Next, we identified grid cells where hummingbird and plant assemblages overlapped using the “bivariatemaps” R package (Hidasi-Neto, 2023). We calculated temporal beta diversity (using Sorensen’s index; see Baselga and Orme, 2012) to assess species turnover between present and future scenarios. We focused only on species with currently documented interactions (Appendix S1), comparing the distributions of each hummingbird with those of its known nectar plants to assess potential disruptions of ecological associations under future climate scenarios (Remolina-Figueroa et al., 2022).
For 10 randomly selected localities in each of 17 Mexican ecoregions (CEC, 2021), we constructed additional PAMs of co-occurrences between hummingbirds and their plants (i.e., “1” = hummingbird–plant interactions; “0” = non-occurring interactions) to estimate GCC impacts on hummingbird–plant co-occurrence networks. In total, we generated 795 PAMs for current and future (2040s – 2080s) scenarios under both dispersal assumptions. These PAM were constructed with at least three hummingbirds and three plant species to ensure statistical robustness (Remolina-Figueroa et al., 2022; Dormann et al., 2025). For future scenarios, we only coded “1” when the hummingbird–plant interaction was documented in our databases or in the specialized literature. It is important to note that we chose to use ecoregions as the spatial framework because they delineate ecologically coherent units that are suitable for national-scale comparisons and help reduce spatial pseudo-replication (CEC, 2021; see Appendix S2 for details and the complete list of Mexican ecoregions).
Using the “bipartite” package in R (Dormann et al., 2025), we calculated four network metrics for each taxon (Bane et al., 2018): species richness (i.e., number of interacting species), number of links (i.e., relationships between species), robustness (i.e., area under the curve of pollinators that survive relative to plant removal, and vice versa), and niche overlap (i.e., degree of similarity among interactions). Finally, generalized linear models (GLMs) were fit to test whether co-occurrence network metrics differed among scenarios and ecoregions.
Phylogenetic diversity patterns and relationships with environmental variablesFor each climate scenario, we estimated PD using Faith’s index (Faith, 1992), defined as the sum of branch lengths connecting all species within a community. PD (in the phylogeny’s units) has no fixed upper bound and increases with species richness and evolutionary divergence; the higher the PD values, the greater the amount of accumulated evolutionary history they represent (Faith, 1992; Pellens and Grandcolas, 2016). We used a molecular phylogenetic hummingbird tree based on mitochondrial and nuclear DNA (McGuire et al., 2014), and a comprehensive seed-plant phylogeny (hereafter “ALLMB” – All-Major-Lineages Megaphylogeny/Backbone) for plants (Smith and Brown, 2018). Phylogenetic analyses were performed using R packages “ape” (Paradis and Schliep, 2019), “picante” (Kembel et al., 2010), and “phytools” (Revell, 2012).
We fitted Generalized Linear Mixed Models (GLMMs) to assess how current PD influences hummingbird-plant network responses to GCC, measured as the percentage of change in network metrics. To do this, each network metric was modeled as a function of climate scenario (i.e., difference in value between current and future scenarios), with ecoregion included to account for spatial heterogeneity. Models were implemented using the R packages “lme4” (Bates et al., 2015) and “MASS” (Venables and Ripley, 2002). Finally, we used GLMMs to examine the relationship between co-occurrence network changes (i.e., community vulnerability) and five environmental variables: annual mean temperature, temperature seasonality, annual precipitation, seasonality of precipitation, and elevation (at 15 m of resolution; INEGI, 2013).
ResultsCurrent hummingbird-plant co-occurrence, diversity and network patternsBased on the compiled interaction matrix, each hummingbird species was associated with 21.91 ± 23.95 (mean ± standard deviation) plant species, while plants overlapped with 2.83 ± 2.57 hummingbird species. At the grid-cell level, species richness averaged 5.72 ± 4.72 spp/site and 73.12 ± 40.85 spp/site across Mexico for hummingbirds and plants, respectively. Hummingbirds shared 38.52 ± 9.47% (range: 20.91%–63.66%) of their current distribution with their associated plants, while plants shared 21.12 ± 11.34% (range: 3.03%–100%) with their interacting hummingbirds. High richness zones for both taxa were concentrated along the Pacific coast and in Veracruz and Chiapas (Fig. 1). PD averaged 125.87 ± 57.04 for hummingbirds and 3,075.96 ± 975.92 for plants, with the highest values observed for both taxa in the Southern Sierra Madre, Central American Sierra Madre, and Chiapas Highlands (Fig. 1).
Bivariate maps showing the spatial patterns of taxonomic and phylogenetic diversity for hummingbird and plant species under current climate conditions and projected future scenarios (2040 and 2080) based on an intermediate shared socio-economic pathway scenario (SSP3 7.0) and two dispersal assumptions (D: contiguous dispersal vs. ND: non-dispersal). For a detailed description of the geographic boundaries and location of the 17 Mexican ecoregions used in this study, see Appendix S2.
All hummingbird-plant co-occurrence network metrics and PD estimates for each ecoregion are detailed in Appendix S4. For the current scenario, hummingbird richness was 8.14 ± 4.49 species and plant richness was 63.10 ± 27.48 species, averaged across all ecoregions. Links per species averaged 23.42 ± 8.78 for hummingbirds and 2.77 ± 0.73 for plants, while network robustness averaged 0.89 ± 0.04 (hummingbirds) and 0.48 ± 0.10 (plants). Robustness was highest for hummingbirds in the Mexican High Plateau and for plants in the Transversal Neo-volcanic System. Robustness was lowest for both taxa in the Tamaulipas–Texas Semi-Arid Plain. Mean niche overlap was 0.28 ± 0.13, with the highest values in the western Sierra Madre and Mexican High Plateau and the lowest in Sierra Los Tuxtlas. Richness, PD, and links per species were highest in the Southern Sierra Madre and the Central American Sierra Madre–Chiapas highlands (Appendix S4).
Species co-occurrence patterns, diversity and network metrics under future scenariosProjected GCC affected species range and richness patterns for both plants and hummingbirds. Assuming contiguous dispersal, range reductions were expected for 58.3% of hummingbird species (from 3.02 ± 29.4% [2040] to 22.83 ± 53.63% [2080]) and 63.2% of plants (from 2.66 ± 1.05% [2040] to 12.65 ± 68.33% [2080]). Assuming no dispersal, 91.66% of hummingbirds (from 20.05 ± 14.32% [2040] to 43.07 ± 26.06% [2080]) and 93.6% of plants (from 21.51 ± 19.77% [2040] to 35.51 ± 28.19% [2080]) are projected to experience range reductions. Species richness per site declined from 5.26 ± 4.59 spp. (2040-dispersal) to 3.72 ± 3.35 spp. (2080 non-dispersal) for hummingbirds, and from 73.27 ± 40.59 spp. (2040-dispersal) to 56.89 ± 33.52 spp. (2080 non-dispersal) for plants. There was a decrease in co-occurrence areas between hummingbirds and their associated plants (38.69 ± 8.80% [2040 dispersal] and 32.33 ± 8.25% [2080 non-dispersal]), and between plants and their interacting hummingbirds (21.80 ± 11.65% [2040 dispersal] and 16.83 ± 11.21% [2080 non-dispersal]). Temporal beta diversity ranged from 0.13 ± 0.06 (2040 dispersal) to 0.14 ± 0.06 (2080 non-dispersal).
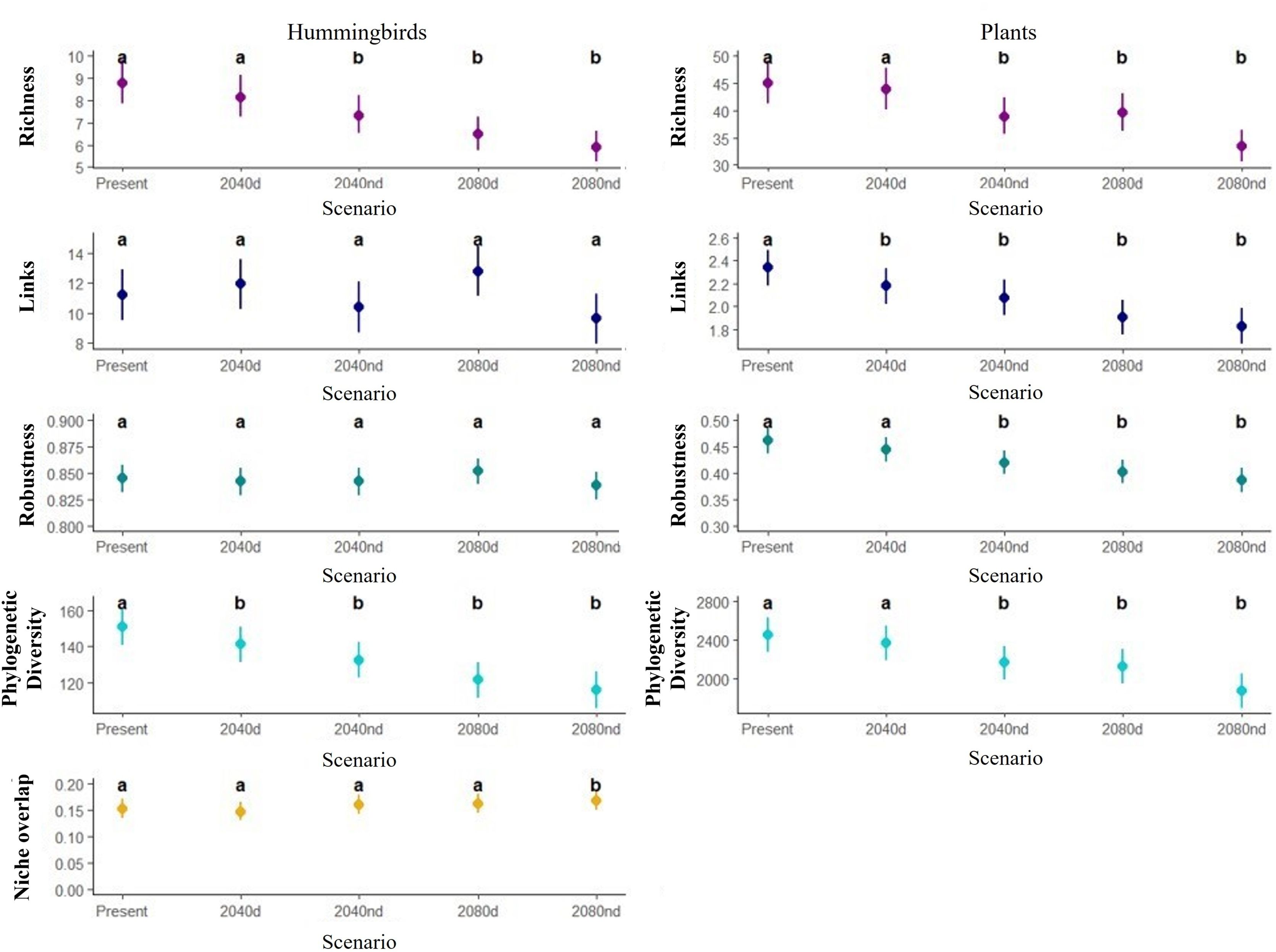
Analyses of co-occurrence networks across ecoregions revealed significant differences in species richness, PD, and links per species between current and future scenarios (Fig. 2; Appendix S4). Our climate projections suggested that (Table 1): i) species richness will decrease for hummingbirds (from 7.59 to 5.49 spp.) and plants (from 61.89 to 47.4 spp.); ii) links per species will remain stable for hummingbirds but decrease for plants (from 2.62 to 2.27 spp.); iii) PD will decrease for both hummingbirds and plants; iv) hummingbird robustness will remain stable across ecoregions while plant robustness will decrease (from 0.47 ± 0.11 to 0.41 ± 0.12); and v) niche overlap will increase by 2080 only under the non-dispersal scenario (to 0.31 ± 0.13).
Summary of changes in hummingbird-plant co-occurrence network metrics under future climate scenarios, considering an intermediate shared socio-economic pathway scenario (i.e., SSP3 7.0) and two dispersal assumptions for taxa: contiguous dispersal (d) vs. non-dispersal scenarios (nd). Letters indicate statistical differences (P < 0.05) between scenarios.
Summary (mean ± standard deviation) of general network metrics and phylogenetic distance (PD) for hummingbird-plant co-occurrence patterns across Mexico under current and future climates (2040 and 2080) based on an intermediate shared socio-economic pathway scenario (SSP3 7.0) and two dispersal assumptions (D: contiguous dispersal vs. ND: non-dispersal).
| Metric | Current | 2040D | 2040ND | 2080D | 2080ND |
|---|---|---|---|---|---|
| Hummingbird richness | 8.2±4.5 | 7.6±4.5 | 6.8±3.9 | 6.0±3.5 | 5.5±3.1 |
| Plant richness | 63.4±27.3 | 61.9±26.9 | 55.1±24.2 | 55.8±23.9 | 47.4±21.2 |
| Number of links for hummingbirds | 23.5±8.7 | 24.2±8.6 | 22.7±8.8 | 25.1±9.5 | 21.9±9.0 |
| Number of links for plants | 2.8±0.7 | 2.6±0.8 | 2.5±0.8 | 2.4±0.7 | 2.3±0.7 |
| Hummingbird robustness | 0.9±0.1 | 0.9±0.1 | 0.9±0.1 | 0.9 ±0.1 | 0.9±0.1 |
| Plant robustness | 0.5±0.1 | 0.5±0.1 | 0.4±0.1 | 0.4±0.1 | 0.4±0.1 |
| Niche overlap | 0.3±0.13 | 0.3±0.1 | 0.3±0.1 | 0.3±0.1 | 0.3±0.1 |
| Hummingbird PD | 125.87±57.04 | 116.4±55.7 | 107.6±50.8 | 96.4±43.0 | 90.9±39.8 |
| Plant PD | 3075.9±975.9 | 2996.4±952.7 | 2786.0±913.4 | 2745.1±868.2 | 2499.5±831.4 |
We found key associations between PD, species richness, and network metrics (Fig. 3): i) hummingbird PD was negatively related to hummingbird and plant richness changes (dispersal scenarios); ii) plant PD was negatively related to plant richness (p = 0.004, R²ₘ = 0.072; df = 1) but positively related to niche overlap under the 2040 dispersal scenario (p = 0.042, R²ₘ = 0.035; df = 1); and iii) under the 2040 non-dispersal scenario, hummingbird PD positively influenced plant robustness (p = 0.00085, R²ₘ = 0.086; df = 1). No other relationship between PD and network metrics was significant.
Additionally, we found that environmental conditions affect future diversity patterns (see Appendix S5). Species richness, number of links and plants robustness decreased with increasing temperature and decreasing precipitation in lowland sites, especially in the Gulf of Mexico Humid Coastal Plains and Hills, Eastern Sierra Madre, Sierra Los Tuxtlas, and the Yucatan Peninsula. Conversely, increased precipitation seasonality in western Mexico may positively impact hummingbird richness, number of links, and plant robustness, especially in the Western Sierra Madre, Western Sierra Madre Piedmont, Western Pacific Plains and Hills, and Western Pacific Coastal Plain, Hills and Canyons. Finally, PD for both taxa was projected to increase or remain stable in sites where annual precipitation will remain stable or increase.
DiscussionLike previous studies, we found that future GCC will significantly affect the distributions of hummingbirds and plants as well as their co-occurrence patterns (e.g., Chávez-González et al., 2020; Prieto-Torres et al., 2021a; Manrique‐Ascencio et al., 2024). More importantly, uneven species-specific responses and heterogeneous climate variations across Mexico (e.g., Cuervo-Robayo et al., 2020) could fundamentally reshape mutualistic networks, resulting in reduced species richness, PD, and plant robustness in the coming decades. The projected contraction of shared areas may compromise mutualistic interactions by decoupling pollination relationships, particularly when pollinators and their floral resources no longer overlap (Chávez-González et al., 2020; Remolina-Figueroa et al., 2022). Our study thus offers critical insights into how assembly may respond to future environmental scenarios —a topic that remains understudied (e.g., Heinen et al., 2020). We also identify the Southern Sierra Madre and the Central American Sierra Madre–Chiapas Highlands as promising regions for conservation, though field data are needed to validate these projections and to deepen our understanding of species- and community-level responses.
GCC will likely promote the formation of novel communities, primarily due to the local extirpation of species. As expected, plant robustness declined under future scenarios, while hummingbird robustness remained relatively stable. This pattern likely reflects the generalist nature of many hummingbirds in North America, which interact with a wide variety of floral resources and can therefore maintain their ecological roles even as specific plant species decline or disappear (Sonne et al., 2022). Notably, the number of links decreased more strongly for plants than for hummingbirds. This could indicate a reduction in interaction redundancy for plants, increasing their vulnerability to pollinator loss. Furthermore, niche overlap could increase in the long term, such that remaining species may rely on similar resources. This result is consistent with the idea that climate-driven environmental filtering favors species with similar ecological requirements, leading to functionally redundant communities (Webb et al., 2002; Meynard et al., 2011; Shooner et al., 2018). However, this could also heighten interspecific competition, potentially making communities more unstable and vulnerable to change (Sonne et al., 2022). Overall, our results suggest that GCC will simplify network structures and increase biodiversity homogenization (Shooner et al., 2018).
Another key finding is the overall decline in PD, a metric that reflects taxonomic uniqueness and evolutionary relationships among species within a community (Faith, 1992; Hardy and Senterre, 2007). Although communities with higher PD are generally considered more resilient to GCC (Voskamp et al., 2017), our results suggest context-dependent effects. Under dispersal scenarios, higher hummingbird PD was associated with larger richness declines for both hummingbirds and plants, consistent with potential losses of specialized lineages with narrow climatic niches, leaving assemblages dominated by more generalist and functionally redundant species (Voskamp et al., 2017). By contrast, under the 2040 non-dispersal scenario, hummingbird PD showed a positive association with plant robustness. For plants, PD was negatively associated with projected richness and —under the 2040 dispersal scenario— was positively associated with niche overlap, consistent with the loss of specialists and the persistence of more similar species (Remolina-Figueroa et al., 2022; Sonne et al., 2022).
Overall, these results suggest that PD does not uniformly confer resilience; rather, its influence varies across taxa (especially plant assemblages) and dispersal conditions, likely mediated by functional redundancy and interaction structure (Rezende et al., 2007; Cavender‐Bares et al., 2009). Given the modest effect sizes (marginal R² = 0.035–0.086), these trends should be interpreted cautiously, as unassessed processes such as interaction rewiring, phenological shifts, and landscape configuration likely contribute to unexplained spatiotemporal variation in dynamic communities. Hummingbird-plant networks are highly dynamic, which may buffer GCC impacts on plant reproduction and hummingbird resources (Chávez-González et al., 2020; Corro et al., 2021; Sonne et al., 2022). Understanding how these dynamic processes interact with phylogenetic structure is crucial for predicting long-term network stability and functioning under GCC.
The intensity of network changes varied geographically, with the strongest effects in lowland regions, which have been projected to experience the most severe warming and reduced precipitation (Cuervo-Robayo et al., 2020). While strong environmental heterogeneity (e.g., climate seasonality in dry forests) may promote the coexistence of species with contrasting ecological and evolutionary histories, many plant species in these areas are approaching the limits of their drought tolerance and functional capacity, potentially affecting growth rates and flowering phenology. This may allow certain species (e.g., Fabaceae) to dominate and displace others under future climatic conditions (Manrique‐Ascencio et al., 2024; Qian et al., 2024). These patterns emphasize the critical role of climatic factors in shaping hummingbird–plant networks, since temperature and precipitation seasonality influence species distribution, persistence, phylogenetic structure, and ecological complexity (Manrique‐Ascencio et al., 2024; Qian et al., 2024). Although phenology was not explicitly modeled, climate-driven shifts in flowering timing may produce temporal mismatches between plants and hummingbirds even where spatial overlap persists, highlighting the importance of evaluating such dynamics in this system (Vasiliev and Greenwood, 2021). These findings highlight the need for finer-scale analyses to better understand how environmental and evolutionary processes jointly shape ecological networks (Peres-Neto et al., 2012).
Our results suggest that future GCC will reduce the complexity, diversity, and stability of hummingbird–plant networks in Mexico. However, these impacts may be less severe in communities with high hummingbird and plant PD. Particular attention should be paid to the Southern Sierra Madre and Central American Sierra Madre–Chiapas Highlands, as these regions may serve as climate refugia and, therefore, represent key conservation priorities. Ultimately, our findings call for integrative conservation strategies that explicitly consider ecological and evolutionary factors to better understand and mitigate the effects of GCC on species, communities and ecosystem functions.
CRediT authorship contribution statementDRF, DAP-T, WD, and MCA envisioned and designed the study. DRF, LISR, and MCA compiled the list of plants used by hummingbirds and database of occurrence records. DRF, DAP-T and LISR performed the species distribution models and spatio-temporal analyses. DRF and WD performed network and PD analyses. LQ-C and DRF performed all statistical analysis. All authors contributed to the interpretations of results, as well as the writing of the manuscript.
FundingDirección General de Asuntos del Personal Académico (DGAPA-UNAM-PAPIIT projects IN213223 and IA208824) and the Programa de Investigación en Cambio Climático (PINCC), both at Universidad Nacional Autónoma de México (UNAM). Secretaría de Ciencia, Humanidades, Tecnología e Innovación from México (Secihti; project No. CF-2023-I-1078). Secihti and Posgrado en Ciencias Biológicas at UNAM provided a PhD scholarship grant [1084487].
Data availability statementThe authors confirm that the data supporting the findings of this study are available within the article [and/or] its supplementary materials. Interested readers to other material could request them from the both first [DRF] and corresponding author [DAP-T].
The authors declare no conflicts of interest.
This paper constitutes part of the requirements for the PhD degree of DRF in the Posgrado en Ciencias Biológicas of the Universidad Nacional Autónoma de México (UNAM). DRF was supported by a PhD scholarship [grant number 1084487] from the Secretaría de Ciencia, Humanidades, Tecnología e Innovación (Secihti; Mexico). Funding for the research was provided by the Dirección General de Asuntos del Personal Académico (DGAPA-UNAM-PAPIIT IN213223 [to MCA] and IA208824 [to DAP-T]), the Programa de Investigación en Cambio Climático (PINCC-UNAM), and the Secihti-Ciencia de Frontera (project No. CF-2023-I-1078 [to DAP-T]). Authors partially used ChatGPT to aid in translation from Spanish and grammar checking, but Lynna M. Kiere reviewed the English version of the manuscript.








