Wetlands provide many ecosystem services for people and harbor 40% of the world’s species, including shorebirds. However, Brazil only committed to wetland conservation in 1996 with the implementation of the Ramsar Convention. In this context, we assessed the spatial and temporal variation in shorebird natural foraging and roosting habitats amounts in Brazil from 1996 to 2023. For each Brazilian region (South, Southeast, Midwest, Northeast, and North), we evaluated (i) the variation in area of foraging and roosting habitats for shorebirds over time; and (ii) which land cover types were directly replacing or being replaced by shorebird habitats. We observed only a slight variation in the total habitat area in most regions, but a sharp loss of foraging habitat was detected in the Midwest. Our study also revealed consistent spatial changes in shorebird habitats on all Brazilian regions since 1996, mostly due to conversions into and from areas of vegetation, agriculture and water surface. These spatial reconfiguration of shorebird habitats could have critical consequences for already declining site-faithful shorebird species. Therefore, assessing only the total habitat area masks important spatial patterns of shorebird habitats change, which can have severe implications for shorebird conservation planning in Brazil.
Wetlands cover 1.5–1.6 billion hectares of the Earth’s surface (Davidson and Finlayson, 2019), and harbor 40% of the world’s species (Wetlands International, 2022). Any inland freshwater area, coastal saltwater area (up to 6 m deep) or flooded vegetation, being permanent or temporary, can be considered a wetland (Navid, 1989). Together, these ecosystems host a rich biodiversity and are also responsible for many services for humans, including food and water provision, climate and hydrological regulation, disaster risk reduction, nutrient cycling and primary production (Xu et al., 2020).
However, human action has already caused the loss of 64–71% of global wetlands (Davidson, 2014), mainly due to agriculture and urban expansion (Ballut-Dajud et al., 2022). In addition to being threatened by land use change, wetlands are also sensitive to climatic alterations, which affect the hydrology and drought/flooding regimes of inland wetlands, contributing to their conversion into other ecosystems (Joyce et al., 2016). Despite this, there is limited knowledge on the status and distribution of the world's wetlands (Kingsford et al., 2016). This is even more severe for the Neotropics, given that only 3% of the studies about temporal change in wetland amount were conducted in this biogeographic region (Davidson, 2014).
In response to this wetland decline scenario, in 1971, the Convention on Wetlands of International Importance (hereafter the Ramsar Convention) was created. Although wetlands also have a major importance for people, the initial motivation for the Ramsar Convention was specifically the conservation of habitat for migratory waterbirds (Navid, 1989). In particular, shorebirds, a group of waterbird species of the order Charadriiformes, are reliant on very specific shallow water ecosystems such as tidal flats, river floodplains and flooded grasslands to obtain their food (Burger et al., 1997; Isacch and Martínez, 2003). In coastal areas, shorebirds also depend upon other wetland types, such as mangroves, to rest (hence, roosting habitat) when the high tides are covering their intertidal foraging habitat (Johnston-González and Abril, 2019). In addition, most shorebird species are long-distance migrants that travel across the hemispheres between their temperate breeding grounds and tropical wintering sites (Smith et al., 2023). Therefore, these bird species rely on foraging and roosting habitats distributed across the hemispheres to refuel and rest during their migrations, which makes them particularly sensitive to habitat loss (Pfister et al., 1992; Piersma and Lindström, 2004; Wang et al., 2022). Not surprisingly, shorebird populations have been declining for the past decades, with estimated losses of over 50% of their abundances, signaling high conservation concern (Smith et al., 2023).
About 20% of the Brazilian territory is covered by inland and coastal wetlands (Junk et al., 2014), many of which are critical stopover and wintering habitats for migratory shorebird species of the western hemisphere (Somenzari et al., 2018). However, Brazil only committed to wetland conservation in 1996, when the government enacted the Ramsar Convention in its law (Brasil, 1996). Nevertheless, wetland conservation efforts in Brazil are complex, since the country is one of the largest in the world, with five major geographic regions (South, Southeast, Midwest, Northeast and North) exhibiting different annual precipitation patterns, hydrology and flood-pulsing (Junk et al., 2014) as well as distinct socioeconomic histories and land use patterns (Parras et al., 2024). Such characteristics can directly impact the extent of shorebird habitats in these regions and therefore hinder shorebird conservation. Therefore, understanding the status and distribution of their habitats in Brazil is necessary for shorebird conservation planning – but we still lack a shorebird habitat assessment on a national scale.
In this context, we assessed the spatial and temporal variation in the amount of natural foraging and roosting habitats for shorebirds in Brazil since the implementation of the Ramsar Convention (1996) to the present (2023). Specifically, we evaluated (i) how the area of foraging and roosting habitats varied along the past 28 years between five Brazilian geographic regions, and (ii) which land cover types were the direct cause of the variation (loss and gain) in the extent of these habitats over time within each region. We expected that the amount of foraging and roosting habitats would decline in Brazil, following the global trend of wetlands loss over the past decades (Davidson, 2014), with a more pronounced decline in foraging habitat because inland wetlands are also directly impacted by climatic alterations (Junk et al., 2014). We also expected that changes in habitat extent would vary among Brazilian geographic regions (see more details in Table 1), as each of them have different socioeconomic histories and land use patterns (Parras et al., 2024).
Potential drivers of foraging and roosting habitats loss in each Brazilian geographic region, based on specific land use history.
| Geographic region | Potential drivers of foraging habitat loss | Potential drivers of roosting habitat loss |
|---|---|---|
| South | Agriculture, due to long history of soybean crop expansion (Cattelan and Dall’Agnol, 2018) | Expansion of urban areas and agriculture (shrimp farming) along the coast (ICMBio, 2018) |
| Southeast | Urban areas, due to unplanned urban growth close to wetlands (Miguez et al., 2015) | Urban areas, due to loss of mangroves caused by uncontrolled and irregular urban expansion (Moschetto et al., 2021) |
| Midwest | Agriculture, due to recent expansion of soybean crops (Cattelan and Dall’Agnol, 2018); conversion into savannas or dry grasslands due to climatic alterations (Cunha et al., 2024) | – |
| Northeast | Expansion of urban areas in coastal habitats (Queiroz Pereira, 2020); increase of agricultural areas in inland habitats due to sugarcane expansion (Deuss, 2012) | Urban areas, due to the recent urbanization associated with coastal resorts (Queiroz Pereira, 2020); increase of agricultural areas due to expansion of shrimp farming in mangroves (ICMBio, 2018) |
| North | Water surface, due to flooding caused by the construction of a hydroelectric dam (Latrubesse et al., 2017) | Urban areas, due to the mangrove loss resulting from urbanization (Hayashi et al., 2023) |
Our study area encompasses the five Brazilian geographic regions (North, Northeast, Midwest, Southeast, and South), which have distinct land uses and shorebird habitat amounts. Some wetland types, such as mangroves, sandy shores and flooded grasslands, are used as breeding, stopover and wintering habitats (ICMBio, 2023) for 39 shorebird species, of which 12 are resident and 27 are long distance migratory species (Pacheco et al., 2021). Among these species, seven (Burhinus bistriatus, Calidris pusilla, Calidris canutus, Calidris subruficollis, Charadrius wilsonia, Limnodromus griseus and Numenius phaeopus) are threatened in Brazil (MMA, 2022). L. griseus and C. subruficollis are also listed as vulnerable globally, while C. pusilla and C. canutus are near threatened species (IUCN, 2024). Shorebird migratory species use both the Atlantic Flyway and the Midcontinent Flyway (Fig. 1), spanning the entire Brazilian territory (ICMBio, 2023; Somenzari et al., 2018).
Migratory shorebird flyways in the five Brazilian geographic regions: the Atlantic Flyway (in orange) and the Midcontinental Flyway (in green). Flyways geographic limits were adapted from the Shorebird Conservation Initiatives of the Americas (https://shorebirdflyways.org/) and represent the combined geographic distribution of shorebird species that are present in this area.
The Atlantic Flyway comprises coastal wetlands such as beaches, tidal flats, mangroves and sandbank vegetation that are used as foraging and roosting sites during the migration by many species, such as Arenaria interpres, Numenius phaeopus and C. canutus (Somenzari et al., 2018). The Midcontinent Flyway includes inland wetlands such as flooded grasslands, swamps and river floodplains used as stopover sites by shorebird species during migration, including Actitis macularius, C. subruficollis and Pluvialis dominica (Somenzari et al., 2018).
Migrating shorebirds are more abundant from September to April in several areas of Brazil, such as Lagoa do Peixe (Scherer and Petry, 2012) in the South region, Ilha Comprida (Barbieri et al., 2003) in the Southeast region, Pantanal wetlands (da Frota et al., 2020) in the Midwest region, Maranhão coast (Rodrigues, 2000) in the Northeast region, and the Amazon Basin’s rivers (Linscott et al., 2024) in the North region. Many shorebird species are widely distributed and occur in wetlands (both inland and coastal) of all Brazilian states, such as Actitis macularius, Tringa solitaria, Tringa melanoleuca, Pluvialis dominica and Anarhynchus collaris. In addition, other species, which migrate through the Atlantic Flyway, are present in beaches, mangroves and sandbank vegetation along the entire Brazilian coast, such as Tringa semipalmata, Charadrius semipalmatus and Calidris alba. Therefore, shorebird species use both inland and coastal wetlands in all Brazilian geographic regions (ICMBio, 2023).
Land cover data and spatial analysisShorebird foraging and roosting habitats data from 1996 to 2023 were derived from land use and land cover data available at the spatial resolution of 30 m from the MapBiomas Collection 9, with overall accuracy of 93.09% (Souza et al., 2020). Using Google Earth Engine (GEE), MapBiomas’ images of each year were reclassified so that beaches, salt flats, flooded grasslands and swamps were considered as foraging habitat (Appendix 1). The classification adopted in our study was based on previous studies that highlighted that shorebirds search for food in beaches (Burger et al., 1997; Neuman et al., 2008), salt flats (Parks et al., 2016), flooded grasslands (Faria et al., 2023; Isacch and Martínez, 2003) and swamps (Burger et al., 1997; Forti and Nóbrega, 2012). Also, we considered mangroves and sandbank vegetation as roosting habitat because shorebirds use these environments to rest when the high tides are covering their coastal foraging habitat, as it has been reported by several previous studies (Butler et al., 1997; Colwel et al., 2003; Johnston-González and Abril, 2019). We then calculated the amount (in km2) of foraging and roosting habitats for each of the five Brazilian geographic regions separately, for each year. Both habitat types occur in four of the Brazilian geographic regions, while the Midwest only has foraging habitat.
However, we had some limitations in the estimation of total habitat area due to misclassification errors in MapBiomas data. For example, the accuracy in identifying flooded grasslands and swamps class is around 50%. A large portion (about 26%) of this error originates from the misclassification of dry grasslands. Nonetheless, we consider this not to be a major issue for assessing trends over the years, as this low accuracy in some land cover classes has remained consistent over time, according to information from MapBiomas (MapBiomas, 2025). Despite these limitations, MapBiomas remains the only reliable source for obtaining temporal information on different land cover types at such a broad spatial scale, like that of Brazil.
We also assessed the area of habitat (in km2) that remained constant (i.e., areas that were shorebird foraging or roosting habitats in 1996 and that remained so throughout the entire 28 years-period) in each geographic region. For this, we combined all 28 images and identified habitat areas that had not undergone any changes.
In order to assess which land cover types were directly replacing or being replaced by shorebird foraging and roosting habitat in each geographic region from year to year, we calculated conversion matrices for each one-year interval using GEE and MapBiomas land cover data. This was achieved by multiplying each pixel in the first-year raster image by a constant and then combining it with the corresponding pixel in the second-year raster image, obtaining a final image layer that indicated the direct changes that shorebird habitats suffered (more details in Appendix 2).
In our study, we considered five land cover types that could be related to the variation in shorebird habitat amount: (1) agriculture, because its expansion is the main driver of wetland loss around the world and in the American continent (Ballut-Dajud et al., 2022); (2) urban areas, because many cities are growing on wetlands, so urbanization is the second main driver of wetland loss in the Americas (Ballut-Dajud et al., 2022); (3) cattle pastures, given that cattle raising is reported as the third main cause of wetland loss in the Americas (Ballut-Dajud et al., 2022); (4) vegetation, because flooded grasslands can dry out due to changes in precipitation patterns and be converted in dry vegetation types, such as dry grasslands or savannas (Joyce et al., 2016); and (5) water surface, because wetlands can be lost due to hydroelectric dam flooding (Bauni et al., 2015), construction of aquaculture tanks and sea level rise (Ballut-Dajud et al., 2022). These land cover types were also derived from the original MapBiomas classification (Appendix 1). In particular, vegetation includes any of those not used by shorebirds, such as dry grasslands, savannas and forests. Grasslands are mainly native, but there can be spots of invasive herbaceous vegetation. Water surface includes ocean, rivers and lakes (natural and human made). It is important to note that this does not affect our results, as the vegetation class was not used to calculate the area of habitat available for shorebirds; i.e., this class was only used to detect how much habitat was lost to other types of environments not used by these birds.
Based on this analysis, we were able to identify areas of foraging and roosting habitats in previous years that were directly converted into agriculture, urban areas, cattle pastures, vegetation or water surfaces in the following year, and vice versa. Then, we calculated the total area of shorebird foraging and roosting habitats (km2) that was converted to and from each of the five land cover classes in each geographic region and each one-year interval of our time series.
Data analysisFirst, we used generalized linear models with a Gaussian distribution to assess how the amount of foraging and roosting habitats varies over the years within each Brazilian geographic region. In particular, linear models are recommended when the goal is to identify trends in time series data (Brockwell and Davis, 2002), as applied in previous studies that evaluated year-to-year variation (Hema et al., 2023; Li and Shen, 2020; Santos et al., 2023). We created two models for each region (except for the Midwest, which does not have roosting habitat area) with the area of foraging or roosting habitats as the response variable and the year as the single predictor. Then, we tested for temporal autocorrelation in each model’s residuals using a Durbin-Watson test from the lmtest package (Zeileis and Hothorn, 2002). If significant autocorrelation (P < 0.05) was detected, we then fitted a linear model using Generalized Least Squares (GLS) with an autocorrelation structure of order 1, using the nlme package (Pinheiro et al., 2023). In our study, all models showed significant autocorrelation in their residuals, except the one that had the Midwest region’s foraging habitat as the response variable (see Appendix 3). We compared the new models with the previous linear models that had no autocorrelation structure, and selected the model with the lowest AIC value – which was the GLS model with autocorrelation structure for all eight models (Appendix 3). We used the Kolmogorov-Smirnov test for the best model validation, in addition to visual inspection of normalized residuals plots (Appendix 3).
Then, in order to understand which land cover types were the most significant direct cause of variation (both loss and gain) in the amount of these habitats over time within each region, we conducted Kruskal-Wallis tests (non-parametric test chosen based in previous results, see results in Appendix 4). For this analysis, we used the total area of shorebird foraging and roosting habitats that was converted to and from each of the five land cover classes each year. The Kruskal-Wallis compared the five land cover classes regarding the median habitat area (in km2) that was annually converted to and from each of them. This comparison was conducted separately for the median habitat area that was annually lost (i.e., we compared the median habitat area that was converted into each of the five land cover types) and the median habitat area that was annually gained (i.e., we compared the median area of each of the five land cover types that annually were converted into habitat). We also conducted Dunn's test of multiple comparisons using the dunn.test package (Dinno, 2024) when a significant difference was detected among land cover types. All analyses were conducted in R (R Core Team, 2024).
ResultsOur findings highlighted that the total amount of shorebird habitats in Brazil showed a slight decrease of about 1% from 1996 (215,113.01 km²) to 2023 (212,525.74 km²). However, we detected a wide variation in the extent of foraging and roosting habitats available for shorebirds over our time series among Brazilian geographic regions (Table 2).
Area (km2) of shorebird foraging and roosting habitats in 1996 (implementation of the Ramsar Convention in Brazil) and 2023 in each Brazilian geographic region. The values in parentheses indicate the percentage of the total habitat amount in relation to the area of each geographic region. The Midwest region has no roosting habitat, which is characteristic of the coastal area and includes mangroves and sandbank vegetation.
| Regions | Foraging habitat | Roosting habitat | ||
|---|---|---|---|---|
| 1996 | 2023 | 1996 | 2023 | |
| South | 6120.52 (1.09%) | 6085.33 (1.08%) | 1386.95 (0.25%) | 1481.43 (0.26%) |
| Southeast | 9669.19 (1.05%) | 9977.36 (1.08%) | 675.35 (0.07%) | 764.52 (0.08%) |
| Midwest | 80,966.87 (5.04%) | 73,989.41 (4.61%) | 0 | 0 |
| Northeast | 12,804.99 (0.82%) | 13,779.66 (0.89%) | 6535.67 (0.42%) | 6615.15 (0.43%) |
| North | 93,652.62 (2.43%) | 96,623.29 (2.51%) | 3300.85 (0.09%) | 3209.59 (0.08%) |
We observed a significant (P < 0.05), yet subtle increase in the area of foraging habitat over the years in the Southeast and Northeast regions, while an opposite and steep pattern was detected in the Midwest region (Table 3, Fig. 2). The foraging habitat gain detected in the Southeast and Northeast regions represents only about 16 and 34 km2/year, respectively. In the Midwest region, however, there was a loss of about 431 km2 of foraging habitat per year. In the South and North regions, the foraging habitat area did not change significantly. Our findings also highlighted a subtle increase in the amount of roosting habitat in the Northeast region (representing 3.5 km2/year), while a significant and slight decrease (3.7 km2 lost per year) was evidenced in the North region (Table 3, Fig. 2). In the South and Southeast regions, the extent of roosting habitat did not change over time.
Coefficients of generalized least squares (GLS) models used to evaluate how the amount of foraging and roosting habitats varies over the years (1996–2023) in each Brazilian geographic region.
| Regions | Foraging habitat | Roosting habitat | ||||||
|---|---|---|---|---|---|---|---|---|
| Estimate | Std. Error | t value | P value | Estimate | Std. Error | t value | P value | |
| South | −1.303 | 8.511 | −0.153 | 0.879 | 3.499 | 4.968 | 0.704 | 0.4875 |
| Southeast | 15.914 | 4.468 | 3.561 | 0.0014* | 3.303 | 1.674 | 1.973 | 0.0592 |
| Midwest | −430.7 | 203.8 | −2.113 | 0.044* | – | – | – | – |
| Northeast | 34.20 | 5.754 | 5.943 | <0.001* | 3.499 | 0.923 | 3.788 | 0.0008* |
| North | 148.77 | 157.06 | 0.947 | 0.352 | −3.711 | 0.618 | −6.003 | <0.001* |
Despite the slight changes in total habitats area, we observed that the amount of foraging habitat that remained unchanged over the past 28 years was only 45.57% in the Midwest, 62.36% in the Southeast, 64.64% in the Northeast, 72.15% in the North and 73.20% in the South. For roosting habitat, the percentage of unchanged area was 50.71% in the South, 73.02% in the Southeast, 83.65% in the North and 86.10% in the Northeast.
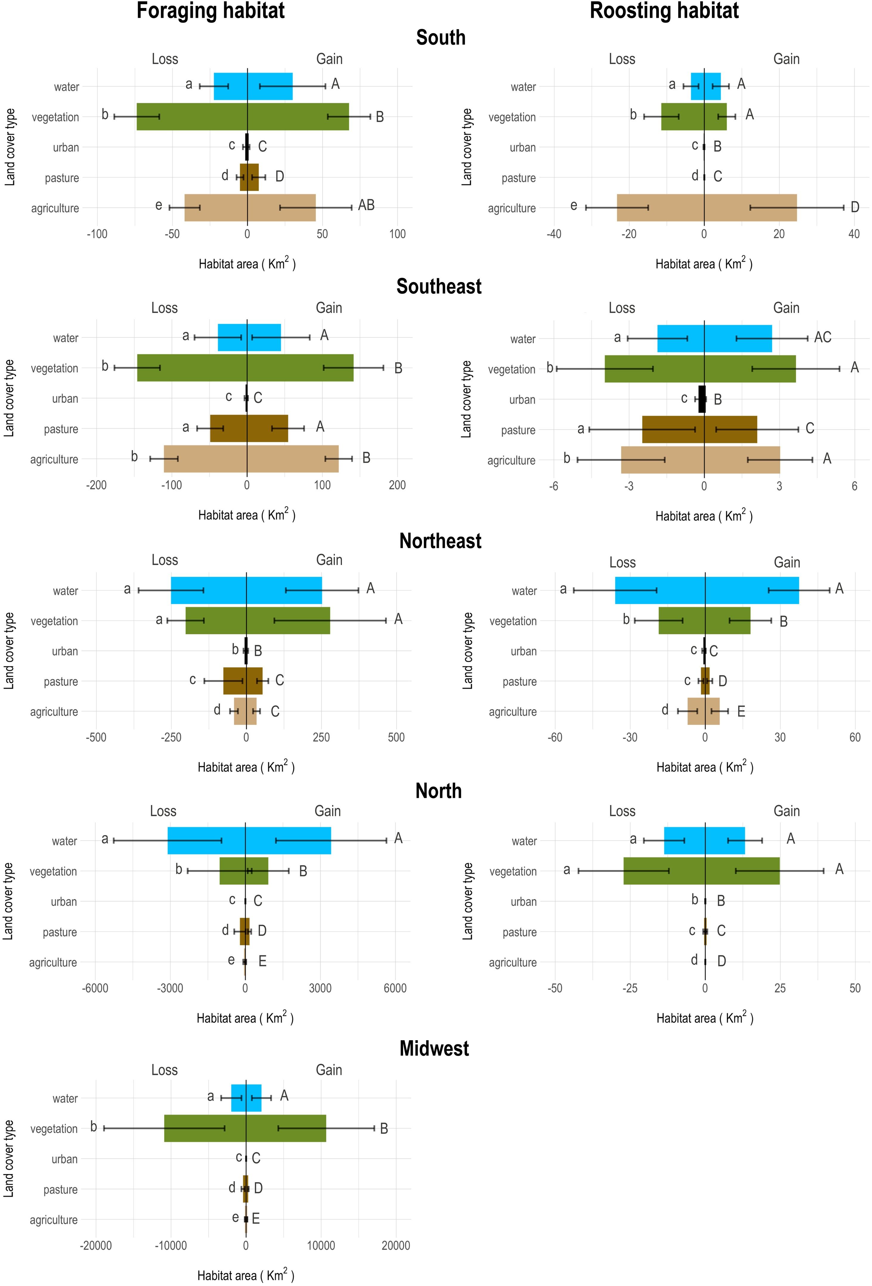
Our study also revealed that changes in the amount of foraging and roosting habitats between years are particularly associated with conversions into and from areas of vegetation, agriculture, and water surface (Fig. 3). We observed that habitat loss between years in the South and Southeast regions is associated with the conversion into agricultural areas and vegetation (Fig. 3, Appendix 5). In the other Brazilian regions, the loss of both habitats is related to the increase in water surface and vegetation (Appendix 6). Similar results were observed for the increase of shorebird habitats on areas that were previously other land cover types (Fig. 3, Appendix 5). In the South and Southeast regions, habitat gain was explained mostly by areas of agriculture or vegetation that were replaced by foraging and roosting habitats. For the other regions, vegetation and water surface were the main types of land cover that were replaced by one of the two habitat types (Fig. 3).
Amount of foraging and roosting habitats that were either lost (negative values) directly to agriculture, pasture, urban areas, vegetation and water surface or gained (positive values) by conversion from one of these five land cover types, in each of the five Brazilian geographic regions. The habitat area converted to and from the land cover types was calculated per one-year interval and here we show the mean annually converted area and the standard deviation. The letters indicate significant differences (P < 0.05) based on Dunn's test of multiple comparisons (see results in Appendix 5), which was conducted separately for loss and gain.
Our study revealed that the total shorebird habitat amount showed a small decrease since the Ramsar Convention was enacted in Brazil, a pattern that diverges from what has been reported worldwide in recent decades (Davidson, 2014). However, we detected distinct patterns among regions, including a steep decline of foraging habitat in the Midwest, which is consistent with prior knowledge that inland wetlands have experienced greater losses (Davidson, 2014). Although the total habitat area may not have changed extensively in many regions, the spatial location of shorebird foraging and roosting habitats went through consistent changes. Only 45 to 86% of habitats within each region remained constant over time, with the remaining habitat area changing in location throughout the years – that is, within the same region, habitat losses and gains were occurring simultaneously in different sites, in a way that even if the overall habitat area remained roughly the same, the location of such habitats was constantly changing. Most of the changes in spatial location of these habitats were due to conversions into other vegetation types, water surface and agriculture, with the opposite exchange (i.e., vegetation, water surface or agriculture converted into habitat) occurring in other sites within the same region. These results indicated that assessing only the total habitat amount masks important patterns of shorebird habitat change in Brazil and may lead to an erroneous shrinkage of conservation efforts, which can have severe implications to the already declining shorebird populations (Smith et al., 2023).
The slight habitat gain observed in the Southeast and Northeast geographic regions may be related to the implementation of protected areas, which began mostly after 1996. This is consistent with the fact that Brazil only established its national network of protected areas in 2000 (Brasil, 2000). In particular, out of the 238 protected areas that encompass shorebird habitats in 2023, 130 (54.6%) were created after 1996. Another possible explanation for an overall gain particularly in shorebird roosting habitat could be related to recent mangrove restoration initiatives that have taken place in the Northeast (Ferreira and Lacerda, 2016). However, it is important to highlight that the increase in shorebird habitat amount across Brazilian regions was slight (e.g., a minimum gain of 3.5 km2/year for roosting habitat and a maximum of 34 km2/year for foraging habitat, both in the Northeast region), which reflects an overall maintenance of habitat availability over the 28 years evaluated. Nonetheless, this result is already encouraging, considering that global trends indicate a decline in most wetland areas (Davidson, 2014).
In contrast, our study revealed a modest loss of roosting habitat in the North region and a sharp decline in foraging habitat in the Midwest region. Roosting habitat loss in the North region could be linked to sea level rise and consequent changes in coastal vegetation, which has been previously reported (Henriques et al., 2024). Although not apparently alarming, this loss of roosting habitat could affect the population dynamics of already declining and endangered shorebirds, such as Limnodromus griseus, Calidris pusilla and Calidris canutus, which depend on these habitats during the non-breeding season. Conversely, most of the marked loss of foraging habitat in the Midwest region occurred in the Pantanal wetlands, one of the most important stopover sites for shorebirds that migrate through the Midcontinent Flyway (ICMBio, 2023). This result is most likely related to wetland losses caused by reduced precipitation and increased temperatures that the Pantanal has been experiencing in recent decades, which also led to an increase in fires (Silva et al., 2022). Most of the fires affecting natural areas in this region occurred on rural properties, suggesting a likely synergy between land use and climate change (Ferreira Barbosa et al., 2022). This is of particular concern, considering that the globally vulnerable Calidris subruficollis depends on these habitats to rest and refuel during migration. This species has already lost more than 50% of its original population (Smith et al., 2023) and habitat shifting due to climate changes was already assumed to be one of the main drivers of this decline (Lanctot et al., 2009). Therefore, we highlight the urgent need for action in Brazil’s area of the Midcontinent Flyway, especially to increase the extent of protected areas, which currently represents only about 6% of total shorebird habitats in the Midwest region.
Moreover, the high percentage of habitats that have undergone changes over time (i.e., more than 50%) in most regions broadens our concerns about shorebird conservation in Brazil. Many shorebird species, such as Numenius phaeopus and C. canutus (which are both vulnerable in Brazil), are known for their wintering and stopover site fidelity – the birds stop to feed and rest at the same sites during migration and spend the austral summer in the same locations every year (Handmaker et al., 2024; Musmeci et al., 2022), which makes them particularly sensitive to habitat spatial changes. Although the total habitat amount remains roughly the same in many geographic regions, most of the original habitat has been lost, and new habitat areas have formed. If this process occurs within traditional stopover sites of already declining site-faithful species (such as N. phaeopus and C. canutus), they could suffer with increased mortality in the non-breeding season due to lack of high-quality habitats to rest and refuel, therefore continuing their migrations with limiting physiological conditions. In addition, it is difficult to determine whether shorebirds can adapt to these spatial changes and utilize potential new habitats where they lack prior knowledge of local resources. In the Northeast region, about 35% of foraging habitats went through spatial changes. This spatial reconfiguration of habitats in this region can have critical consequences for many shorebird species, because it hosts one site of hemispheric importance (Reentrâncias Maranhenses) that supports 54% of all the Pluvialis squatarola, 72.5% of Arenaria interpres, 49.3% of Tringa semipalmata, and 43.7% of N. phaeopus recorded in South America (WHSRN, 1991), and two sites of regional importance for shorebirds (Bacia Potiguar and Banco dos Cajuais) that hosts more than 1% of the biogeographic population of C. canutus rufa (WHSRN, 2024, 2017) – a threatened species with known site fidelity (Musmeci et al., 2022). Therefore, we stress that it is possible that these recently formed habitats, created through the conversion of other land cover types, do not have the same conservation value to threatened and site-faithful species when compared to sites that already existed and remained unchanged.
Our study also revealed several drivers associated with the high change in the amount and spatial distribution of shorebirds habitats in Brazilian regions. In particular, the main direct cause of both shorebird foraging habitat loss and gain was the conversion to and from areas of vegetation (i.e., foraging habitat was converted to vegetation in some sites within the region, while in other sites vegetation was converted to shorebird foraging habitat), which could be related to changes in the precipitation patterns (Joyce et al., 2016). This result highlights the threat climate change poses to shorebird habitats, particularly inland foraging areas, which are mainly flooded grasslands. These habitats face the dual risk of drying out due to climate change and being converted into other ecosystems (Joyce et al., 2016) that are unsuitable for shorebirds. However, the effects of climate change are not uniform, and some regions of Brazil have experienced increased precipitation, as seen in the South (Dubreuil et al., 2019). In such cases, previously dry grasslands may have been converted into flooded grasslands, leading to a gain in shorebird habitats.
We also observed that the second main cause of foraging habitat change was related to conversion into and from water surface (i.e., foraging habitat was converted into water surface in some sites within the region, while in other sites water surface was converted into shorebird foraging habitat). This result can also be associated with changes in precipitation patterns, once again, because lower water levels in large rivers can expose more floodplains where shorebirds forage (Linscott et al., 2024). However, the loss of foraging habitat due to conversion into water surface could be related to the expansion of hydroelectric dams in Brazil over past decades, especially in the Amazon (Latrubesse et al., 2017). There are currently more than a hundred hydropower dams in the Amazon, with numerous proposals of additional dams (Latrubesse et al., 2017), flooding vast areas of river floodplains where shorebirds once fed during migration.
Regarding roosting habitat, both agriculture and vegetation were the main direct causes of spatial reconfiguration of shorebird habitats across Brazilian regions. Indeed, agricultural expansion has been reported as one of the main causes of mangrove loss worldwide (Ballut-Dajud et al., 2022). In addition, the loss of roosting habitat may be linked to the degradation of vegetation on sandbanks, as human disturbances in the surrounding landscape can facilitate the invasion of exotic grasses in coastal areas (Zamith and Scarano, 2006). In our study, we also detected that the gain in roosting habitat was primarily linked to the direct conversion of other vegetation types and water surface. This result may be associated with restoration efforts, where areas degraded by other vegetation types or lost to aquaculture have been restored and converted back into sandbank vegetation or mangroves (Ferreira and Lacerda, 2016; Zamith and Scarano, 2006).
Study caveatsWe had some limitations in the estimation of habitat area due to misclassification errors in MapBiomas data, therefore it is important to interpret our results accordingly. We advise caution when considering the total area of foraging habitat on each region, as it is possible that it is overestimated due to flooded grasslands and swamps misclassification. However, our study aimed not to merely quantify shorebird habitat area in Brazil, as this value alone is not very informative, but to study its trends and distributions since Ramsar implementation, which has conservation implications for shorebirds. Thus, it is important to note that overall trends in shorebird habitats were not affected by Mapbiomas accuracy, as the error is constant throughout the years. Therefore, even if the total area of foraging habitat cannot be considered an entirely reliable data, this value was overestimated with the same accuracy for all 28 years of our time series – allowing us to conduct a trend assessment with no compromise. Moreover, it is important to highlight that identification of flooded grasslands using remote sensing tools still poses major challenges, and there are no other reliable sources for obtaining temporal information on this land cover type in Brazil. We are confident that, given the novelty and urgency of assessing shorebird habitat in the country to inform conservation strategies, this study already provides valuable contributions with the tools currently available. As remote sensing methods are being constantly improved, certainly there will be more precise estimations of shorebird foraging habitat in the future.
Conservation implicationsThis study is the first temporal and spatial assessment of both shorebird foraging and roosting habitats in Brazil. Our results indicated that although the total amount of habitat may not have changed drastically in most geographic regions since the implementation of Ramsar Convention in the country, there have been consistent spatial changes that could have severe implications for the conservation planning of already threatened site-faithful shorebird species (Handmaker et al., 2024; Musmeci et al., 2022). These species depend on specific sites where they return to every year, and failure to find high-quality habitat to rest and refuel within these sites can compromise the success of their migrations. As an important future step to guide shorebird conservation in Brazil, we recommend combining information on shorebird habitat changes with tracking data to assess whether the birds are actually able to keep up with these alterations. We also recommend that ongoing shorebird conservation initiatives in the country, such as the National Action Plan (NAP) for the Conservation of Migratory Shorebirds (ICMBio, 2023), focus more on the Midcontinent Flyway, given that our observations indicated the Midwest region experienced the strongest decline in shorebird habitats. Although the NAP aims to expand and ensure the conservation of shorebirds and their habitats in Brazil, it does not enlist any specific strategy for the Midcontinent. Finally, we suggest that future studies specifically investigate the effects of climate change on shorebird habitats, as we identified the conversion from wet to dry ecosystems as the primary cause of habitat loss. This indicates that climate change could pose a significant threat to shorebird habitat stability in Brazil.
FundingThis research did not receive any specific grant from funding agencies in the public, commercial, or not-for-profit sectors.
CRediT authorship contribution statementLaura Facci Torezan: Conceptualization, Data curation, Methodology, Formal analysis, Writing - original draft, Writing - review & editing. José Carlos Morante-Filho: Conceptualization, Writing - review & editing.
The authors declare that they have no known competing financial interests or personal relationships that could have appeared to influence the work reported in this paper
We acknowledge the master’s scholarship L.F.T. received from Fundação Coordenação de Aperfeiçoamento de Pessoal de Nível Superior (CAPES) and the productivity scholarship (303302/2022-4) J.C.M-F received from Conselho Nacional de Desenvolvimento Científico e Tecnológico (CNPq) during the development of this study. We also thank Camila Cassano and Gastón Giné for their insights during the development of the research’s project.










