Species lead to a complex and dynamic environment affected by external processes. Better understanding the importance of these factors is particularly urgent for the world’s tropical dry forest, which is understudied, highly threatened and rapidly disappearing. Building on a unique, field-based bird community dataset, we used multivariate analysis and generalized linear models to test the effects of climate and vegetation structure on bird composition and richness in forest corridors. Our analyses revealed the importance of forest corridors that not only connect the landscape but may facilitate the movement of species, having a high potential for management and connectivity planning. We found significant differences in bird communities to environmental changes when focusing on all birds or when analyzing dry-forest birds only. For all birds, composition revealed preferences of habitat. Birds of open habitats were positively associated with canopy openness, temperature, and relative humidity, while birds to avoid open habitats were positively associated with higher canopy density. The most important variables explaining variations of dry-forest birds were understory and canopy density. Richness increases with temperature for the entire community, yet higher temperatures during the day decrease bird activity. Overall, we showed that bird composition differences were associated with canopy changes, yet richness increased with understory cover. Likewise, our study highlights the importance of maintaining a microenvironment based on local requirements for composition or richness. Moreover, the conservation strategies should be consistent to those requirements to promote the viability of corridors uses that potentially connect the landscape.
Species inhabit intricate and ever-changing environments shaped by external processes (Cadotte et al., 2011). Human activities, particularly anthropogenic disturbances, such as habitat loss and fragmentation, significantly impact local and regional conditions due to agricultural expansion and intensification (Tilman et al., 2017). The tropics and subtropics regions experience heightened human pressure as agriculture encroaches on the remaining natural areas with rich and unique biodiversity (Lambin and Meyfroidt, 2011; Roque et al., 2018).
Agricultural expansion is the primary driver of biodiversity depletion (IUCN, 2023). However, the response of natural ecosystems and communities’ hinges on the degree of alteration to the landscape structure and micro-climate conditions (e.g., Laurance and Williamson, 2001; Mendes and Prevedello, 2020; Rodrigues et al., 2022). Notably, the changes brought about by agricultural expansion, such as habitat loss and fragmentation, have been well-documented (Fahrig, 2003; Foley et al., 2005). Substantial empirical evidence and theoretical foundations underscore the threat of habitat destruction to species, manifesting in population declines and local extinctions (Haddad et al., 2015; Johnson et al., 2017).
Corridors, referred to here as landscape elements that facilitate the movements of individuals or dispersal of propagules between isolated natural habitats, are crucial to minimizing biodiversity loss, mainly when considering land use and climate change (Heller and Zavaleta, 2009). However, different species respond differently to the presence and quality of the corridors, an aspect that imposes more complexity on habitat fragmentation and landscape connectivity (Gracanin and Mikae, 2023; Zimbres et al., 2018).
Tropical birds are species with many biological interactions associated with specific habitats, and they have a well-documented and varied response to environmental factors, making them excellent indicators (Foley et al., 2005; Vandewalle et al., 2010). Several studies have reported how bird species respond to habitat fragmentation, including the isolation of sub-populations, increased nest predation, lower breeding success due to human disturbance, or parasitism (Bierregaard et al., 1992; Sodhi and Smith, 2007; Wiens, 2008). Along with land-use change, climate conditions also affect community structure, especially the composition, abundance, and richness (Villard et al., 1999; Zelaya et al., 2022). Climatic variations affect the availability of food resources, nesting places, and vegetation structure (Freemark and Merriam, 1986; Meynard and Quinn, 2008). Thus, understanding the anthropological effects on the establishment, composition, and diversity of birds in regions with high land use change rates is critical.
The Gran Chaco, the largest dry forest ecoregion in South America, is one of the tropical regions heavily impacted by the expansion of agriculture activities. Widespread soybean and cattle ranching expansion has turned this region into global deforestation (Hansen et al., 2013; Kuemmerle et al., 2017). Within the Chaco extent deforestation has been rampant in the Paraguayan Chaco since 2010 (Baumann et al., 2017), affecting its biodiversity, including bird species.
Paraguayan society has created several laws to protect natural vegetation and forest resources. One in particular, Law 542/95, requires that 25% of the surface area of farming properties remains forested, which is predominantly essential. Additionally, properties larger than 100 ha are required by Decree 18,831/86 (Milán and González, 2022) to maintain forested areas at least 100 m wide between agricultural plots, referred to as “windbreaks”. The principal objective of these windbreaks is to mitigate north wind pressure and prevent erosion. To date, there is no evidence that these strips help protect biodiversity, presenting an excellent opportunity to study how well such elements maintain landscape connectivity and how bird species use them. We assess the use and importance of structural corridors in the Paraguayan Chaco on maintaining landscape connectivity and attenuating local climate on bird communities.
Our main goal is to understand how bird communities use the corridors and how vegetation structure and climate conditions within these corridors are in the maintenance of microenvironments capable of supporting bird communities. Specifically, we predicted that bird communities respond negatively to high-temperature values, reducing their daily activity (hypothesis 1). Also, we asked the following research questions: (1) How do avian communities respond to changes in climate and vegetation structure in forest corridors? (2) What climate and vegetation structure variables influence bird composition the most? Therefore, we predict species diversity will increase as vegetation structures. However, temperature influences activity (the higher the temperature, the lower the activity), regardless of differences in vegetation structure (hypothesis 2).
Materials and methodsStudy areaThe Gran Chaco is a biogeographic region comprising the Wet Chaco and Dry Chaco. Dry Chaco is the largest tropical dry forest in South America, extending over flat terrain over an area of 840,000 km2 in Argentina, Paraguay, and Bolivia. The Dry Chaco contains a mosaic of xerophytic vegetation, including dry forests, scrublands, and savannas (Pennington et al., 2000; Werneck, 2011). The soils in the Chaco are mainly based on fluvial pedogenesis in the north and derive from eolic sediments and loess material in the south (Navarro et al., 2011). The climate is semiarid, with summer maxima of up to 49 °C. There is a strong east-west rainfall gradient (450–700 mm) and marked seasonality, with a dry season in the winter/spring and a rainy season in the summer/autumn. Vegetation can be subjected to low soil moisture and freezing temperatures during the dry season, waterlogging, and extremely high temperatures during the rainy season (Pennington et al., 2000).
The Paraguayan Dry Chaco (Fig. 1) is dominated by xeromorphic forest and scrubland (Mereles and Rodas, 2014). Most of the natural vegetation, which remains unprotected (16.2% of protected areas; (Nori et al., 2016), is rapidly converted to agriculture by domestic and international agribusiness actors who establish large farms (Milán and González, 2022), primarily for producing beef for international markets (Baumann et al., 2017; Franco-Solís and Montanía, 2021). This transformation highlights the ongoing deforestation processes within the Paraguayan Chaco. Deforestation in the central Paraguayan Chaco leads to small and isolated remaining forest fragments (Mereles and Rodas, 2014). In contrast, larger blocks of natural vegetation remain in the landscape in the northern Paraguayan Chaco, where the agricultural frontier is expanding (Vallejos et al., 2015). Notably, private landowners must maintain a narrow strip of forest between agricultural plots, so-called windbreaks (cortinas) (hereafter: forest corridors). This aspect gives the singularity to the Paraguayan Chaco landscape.
Study area in the Paraguayan Dry Chaco showing the 22 sampling forest corridors (b) delimited with a gray line is the Dry Chaco of South America (a, b). Inset maps (c, d) shows an example of acoustic recordings sites (circled dots) installed within a forest corridor, and the forest cover obtained from MapBiomas Project - Collection 1.0 (Annual Land Use Land Cover Maps of Paraguay, 2019). Black background indicates closed-canopy dry forest and gray background indicates nonforest areas consisting primarily of cattle pastures (c, d).
We used passive sound recorders to sample bird communities in the Paraguayan Dry Chaco. This non-invasive method helps estimate biodiversity abundance and occurrence while minimizing human disturbance and interferences. Besides, it allows for longer-term monitoring of several vocal species, such as birds (Pérez-Granados and Traba, 2021; Sugai et al., 2019). We surveyed birds at 22 sites (n = 22) in forest connectors inside larger cattle ranches. Sites were selected based on landscape characteristics to include diverse landscape configurations in central and northern Paraguayan Chaco. We installed recorders (Audiomoth Recorder v2.0 from Open Acoustic Devices) at 2 m height in trees separated at least 1000 m between sites. The recorders were covered with a plastic bag to prevent damage from humidity. An experimental study comparing the performance of bare and bagged Audiomoth devices shows that plastic bags can attenuate high frequencies (e.g., above 10 KHz) (Osborne et al., 2023) and might affect the measurement of acoustic indices. However, since we used the acoustic indices only as a proxy for bird activity and not for species identification, we considered such an issue a minor concern.
We recorded during the end of the dry season in September and October of 2019 to attend to the increasing bird vocal activity (i.e., most birds in this region initiate breeding, vocalizing to attract mates) and for access logistics (i.e., rainy season blocks the roads). Other studies in the dry forest were conducted in similar periods, including the rainy season (Loaiza et al., 2020). Each recording session comprised 10-minute samples in WAV format at 48 kHz and 16 bits, captured during peak avian vocal activity windows (specifically, from 05:00 to 08:30 in the morning and 16:00 to 19:00) to capture both diurnal and nocturnal bird species.
We analyzed the recordings manually and automatically. We selected the birds’ peak activity time based on field experience (i.e., 05:20 to 06:30 h for diurnal birds and 18:40 h for nocturnal birds). Bird species were identified manually by the same person (R.C.), listening to the recordings (154 independent recordings) helped by a spectrogram produced with Raven Pro 1.6 software (Center for Conservation Bioacoustics, 2019). We only registered persistent singing and excluded songs of flying birds (e.g., songs of flying parrots) and used birds’ songs repository for species identification (Xeno-Canto, www.xeno-canto.org; and Macaulay Library www.macaulaylibrary.org), as well as consulting with experts on bird songs from the region. Abundance was calculated by the frequency with which species were detected on the recordings.
Climate and vegetation predictorsTo evaluate the influence of environmental variables on bird communities, we calculated predictor variables representing climate and vegetation structure. We adopted a point-quadrant method in each forest corridor, using the recorder position as the central point. We calculated tree basal area density, understory density, canopy density, and canopy openness to capture the vegetation structure. We calculated tree basal area density based on the nearest four trees (i.e., ≥20 cm of diameter), and for that, we measured the circumference and distance of each tree to the central point. To calculate understory density, we counted the number of segments of a cover pole 200 cm long, with 10-cm segments that were entirely visible from a 10 m distance from the central point. We calculated canopy density and openness based on image values of a fisheye photograph taken from a Nikon Coolpix 950 camera. We perform the analyses using the R package Hemiphot (https://github.com/naturalis/Hemiphot). The point-quadrant is a useful method, yet it might be extended to more than a single quadrant to improve the tree basal area measure.
To capture the climate predictors, we collected temperature, relative humidity, and wind speed from weather data generated by the Kestrel 4500 model installed at the central point. We positioned the device vertically, looking to the magnetic north for better results. We used the mean value of each variable to perform the analyses. The sunlight output was based on 60 readings and displayed a 15-second average, using a photometric sensor LI-250A Light Meter, before calibration and leveled with a bubble level. The climate predictors reflected the weather conditions during the two days of study. During this period, we have sunny and cloudy hours. Therefore, it might affect the sunlight output (Table 1).
Vegetation and climate variables used to characterize the sampling sites at the Paraguayan Dry Chaco.
| Description | Mean [range] | |
|---|---|---|
| Vegetation structure | ||
| Basal area density | Dry forest stand density (m2/ha). | 46.88 [8.76–162.68] |
| Understory density | Density of vegetation at the low vertical strata between 0 and 3 m above the ground (Walther, 2002) | 0.50 [0.20−0.75] |
| Canopy density | Space within the crown of the highest trees (Walther, 2002). We used a canopy leaf area index, consisting of the light interception to the ground surface area. | 1.07 [0.65–1.69] |
| Canopy openness | Entrance of light through the canopy. As canopy openness is higher, lighter into the ground. | 0.44 [0.34−0.66] |
| Climate factors | ||
| Sunlight | Sunlight density intrusion until the understory stratum. One lux (1 lux) of light is a measure of the light density, equivalent to 1 lumen per square meter (lm/m2). | 442.07 [85.5–926.7] |
| Wind speed | Air moving from high to low pressure. Wind velocity through the dry forest (km/h). | 1.45 [0–3.75] |
| Temperature | Air hotness or coldness registered in the dry forest (°C). | 29.07 [16.70–34.30] |
| Relative humidity | Ratio of the vapor pressure of air to its saturation vapor pressure (%). | 46.61 [32.86–77.96] |
We divided our response variables into two groups for the analyses. The first group consisted of all birds (hereafter: all birds), including both forest specialist birds and generalist species that use a variety of habitats, such as forest, forest edges, and open areas. The second group included only dry-forest specialist birds (hereafter: dry-forest birds) rarely found in other habitat types. We classified forests based on published habitat associations (Dardanelli et al., 2006; Parker et al., 1996; Semper-Pascual et al., 2018); Table S1). Finally, we compared the use of corridors by bird communities in an anthropological region and agriculture frontier contexts.
We performed a non-metric multidimensional scaling (NMDS) based on a Bray Curtis similarity index to identify bird assemblage responses. To detect which climate and vegetation variables influence changes in bird composition, we used Multi Response Permutation Procedure (MRPP) (Table S2, Table S3), and to know species contribution to differences among samples (Table S4, Table S5), we used the Indicator Species Analysis (ISA) (Dufrêne and Legendre, 1997). The statistical significance of MRPP and ISA were performed using randomization with 999 random permutations and selected the environmental variables and species indicator based on p< = 0.05 scores (Dormann et al., 2009).
Statistical modelsWe used generalized linear models (GLM) to understand the diversity patterns. First, we checked for outliers, normal distribution, and the relationships between response and predictor variables using scatterplots. Second, we performed a canonical correspondence analysis (CCA) to select uncorrelated variables: basal area density, understory density, canopy density for vegetation structure, temperature, and wind speed for climate factors (Fig. A1). We tested all the selected variables for all birds and dry-forest birds, including climate and vegetation.
Next, we performed a model selection to test all combinations of best-performing predictor variables using the R package MuMIn (Barton, 2022). We selected the best-performing model based on the AICc, considering models with ΔAICc <2 (Table S6) as having equally strong empirical support and plausibility (Burnham et al., 2011; Burnham and Anderson, 2002) and then averaged these best-performing models using the R package to derive conditional average coefficients.
We also used a GLM analysis with a binominal family to test the effect of vegetation structure and climate parameters on individual bird species. For that, we selected species closely associated with continuous forest environment and register their presence or absence in our sampling points.
Automatic analysisWe performed automatic analyses to calculate acoustic indices and identify the effects of temperature. Acoustic indices convert bird signatures to assess the spatial and temporal distributions of different birds in ecosystems (Pijanowski et al., 2011). This method is helpful for quick assessments, reduces the time of processing records, and can be associated with species diversity or species activity, providing a rapidly assessed biodiversity (Machado et al., 2017; Pijanowski et al., 2011; Sueur et al., 2014)
We selected two indices: Acoustic Diversity Index (ADI) and Bioacoustics Index (BI), as both show significant associations with avian species richness (Fuller et al., 2015). ADI is calculated based on Shannon entropy, and BI was designed to capture all sound across the frequency range (Boelman et al., 2007). To calculate ADI and BI, we first divided our dataset into four hours in the morning (05:00−05:59, 06:00−06:59, 07:00−07:59, 08:00−08:59). Then, we selected four recordings per hour (each 10 min duration) to split each into one-minute duration samples, which resulted in 1,170 files. Finally, we used the standard parameters of the R packages soundecology (Villanueva-Rivera et al., 2011) and seewave (Sueur et al., 2008) to analyze the files. The ADI, BI, and temperature corresponded to an average of an hour for each site. Hourly analyses were repeated samples within sites by hour of the day and did not represent independent data points. We used a mixed model using the R package lmer (Bates et al., 2022), being time the random structure. All the analyses were performed in R statistical software (R Core Team, 2021).
ResultsWe identified 80 terrestrial bird species, of which 21 birds were dry-forest birds (16.2% of all species recorded). Three species (2.4%) were ubiquitous, occurring in all sites, of which all were generalist birds. The most abundant birds recorded in all sites were Lepidocolaptes angustirostris (78 records, 5.52%), Suiriri suiriri (76 records, 5.38%), Furnarius rufus (70 records, 4.96%).
Bird assemblage compositionBird composition did not diverge between regions with different agricultural land cover but between the same rural landscape (Table S1, Fig A2). Our results indicated that some forest corridors from both regions shared a similar set of birds, and bird compositions differed within the same region.
For all birds, the most influenced vegetation predictors were canopy density and openness, while climate predictors were temperature, wind speed, and relative humidity. For dry-forest birds, the most important predictors were canopy density and wind speed. Importantly, for all birds, the confidence of the results was on the limit of acceptance value (stress = 0.2020), while for dry-forest birds it was acceptable (stress = 0.1966).
For all birds, the most abundant and influenced birds were Furnarius cristatus, Cranioleuca pyrrophia, Rhinocrypta lanceolata and Stigmatura budytoides, which were positive associated with canopy openness; Megacops choliba and Casiornis rufus were positive associated with canopy density; Knipolegus striaceps, Aratinga nenday, Inezia inornata and Paroaria coronata were positive related to temperature, contrary to medium to large body size birds: Nothura maculosa, and Chunga burmeisteri that were positively associated with relative humidity. Leptotila verreauxi was positively associated with wind speed (Fig. 2). For dry-forest birds, the most abundant birds were Knipolegus striaceps, Lophospingus pusillus positively related to canopy density and negatively associated with Nothoprocta cinerascens and Ortalis canicollis, contrary to Microspingus melanoleucus, Myrmorchilus strigilatus, and Aratinga nenday negative associated with wind speed (Fig. 2).
The Non-Metric Multidimensional Scaling (NMDS) ordination plot of birds in corridors of the Paraguayan Dry Chaco based on Bray-Curtis’s dissimilarity. Environmental variables (canopy openness, canopy density, temperature -TP, relative humidity-RH, wind speed-WS) and species of birds significantly affected the composition of birds’ communities. Ordination was performed considering all bird species (circles) and dry-forest birds (triangles).
Large body-sized birds that included Nothura maculosa, Chunga burmeisteri, Nothoprocta cinerascens, and Ortalis canicollis were abundant in the corridors, most of them associated with variables of open habitats.
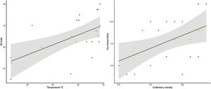
Diversity patternsGeneralized linear models showed climate and vegetation structure influence birds’ communities. Climate conditions significantly influenced all birds, with temperature being the most important (Table 2) and having a positive relation (Fig. 3). For dry-forest birds, vegetation structure had significant influences, with understory and canopy density the most important (Table 2). The richness of dry-forest birds increases with understory density (Fig. 3). We did not find significant responses from the individual bird species closely associated with continuous forest environments regarding environmental parameters (Table S8).
Average-model output from GLM models examining vegetation structure and climate factors correlates of dry-forest birds and overall bird species richness.
| Response variable | Predictor variable | Relative importance | Estimate | SD |
|---|---|---|---|---|
| Dry-forest birds | Intercept | 1.9104 | 0.4802 | |
| Understory density | 0.62 | 0.9254 | 0.4990 | |
| Canopy density | 0.39 | −0.3940 | 0.3105 | |
| All birds | Intercept | 3.1509 | 0.2456 | |
| Temperature | 0.65 | 0.0129 | 0.0068 |
We identified that the temperature increased during the morning while the bird activity decreased (Fig. 4). Bird activities responded negatively to temperature increases during the morning for both indices (Table S7), ADI was β = −0.00535, SD = 0.00278, and BI was β = −0.02365, SD = 0.03726.
DiscussionLand use change due to agricultural expansion is crucial to biodiversity loss, especially in the forest tropics. However, understanding the environmental consequences of habitat changes, particularly vegetation structure and climate factors and their relation to biodiversity, remains unknown. The tropical dry forest is affected by being understudied yet disappearing faster in South America. To our knowledge, we provide the first assessment of the effects of climate and vegetation structure on avian communities in the Dry Chaco, a global deforestation hotspot. Our study contributes with four main insights. First, forest structural connectors not only connect the landscape but may facilitate the movement of species, having a high potential for management and connectivity planning. Second, our study revealed significant differences in the responses of bird communities to environmental changes when focusing on all birds or when analyzing dry-forest birds only. For all birds, composition revealed preferences of habitat. Birds of open habitats were positively associated with canopy openness, temperature, and relative humidity, while birds that avoid open habitats were positively associated with higher canopy density. This highlights the importance of the forest to maintain a microhabitat for birds that avoid open habitats, being more sensitive to changes in vegetation and climate effects. Third, the most important variable explaining dry-forest bird variations was understory density. This emphasized different responses when focusing on all birds to more specialist birds and the importance of vegetation structure in the dry forest, even lower strata, especially for the dry season. Fourth, richness increases with temperature for all birds. Even higher temperatures may contribute to richness, but higher temperatures during the day decrease bird activity. This is especially important considering the dry forest, where temperature rises during the day, affecting bird activities, and there are many conservation concerns to maintain an adequate microclimate.
Our first main finding highlights forest corridors importance in connecting the landscape, facilitating the movement of species, and having a high potential for management and connectivity planning. Our analyses confirm those connectors currently are the habitat of bird communities during the day and night, highlighting their potential as dispersal corridors for bird communities. The forest remnants connect the landscape within cattle pastures in private landholdings. However, since the absence of conservation objectives, those corridors are permanently exposed to external pressures due to agricultural activities, which makes it challenging to maintain the vegetation structure and quality. Besides spatial connectivity, other factors would determine its effectiveness as functional connectivity, like spatial configuration and vegetation structure. Although the corridors may contribute to structural attributes that promote connectivity, the dispersal abilities of species should influence habitat use (Díaz Vélez et al., 2015). Corridors may improve movements between patches, but it does not necessarily ensure functional connectivity. We found that even corridors from the same region support different communities of birds. Corridors differ structurally, and even agricultural land cover may drive changes. The intrinsic variables related to habitat quality and landscape structure may exert predominant effects on birds. Considerable dissimilarities between the quality, shape, and length of corridor structures may guarantee functional connectivity (Pérez-Hernández et al., 2015).
Our second main finding revealed significant differences in the responses of bird communities to environmental changes when focusing on all birds or when analyzing dry-forest birds only. For all birds, composition revealed preferences of habitat. Birds of open habitats were positively associated with canopy openness, temperature, and relative humidity, while birds that avoid open habitats were positively associated with higher canopy density. Canopy structure was the most important variable influencing bird composition for both communities. This highlights the importance of the forest to maintain a microhabitat for birds that avoid open habitats, being more sensitive to changes in vegetation and climate effects. Similarly, bird species composition in the Caatinga dry forest was positively affected by microclimate temperature, canopy complexity, complexity of understory, and precipitation (Gonçalves et al., 2017), while local vegetation structure was important to maintaining bird diversity in a temperate forest of Chile (Meynard and Quinn, 2008). The Dry Chaco has homogenous vegetation, dominated by xerophytic trees and deciduous leaf vegetation with an integrated closed shrub stratum and a less abundant herbaceous understory (Marchesini et al., 2020). The synergistic effects of vegetation structure and climate mediate the regulation of the Dry Chaco microenvironment, while forest canopy establishes the microhabitat impacting the stratum composition, its discontinuous canopy cover makes the sunlight the most predominant variable in the microclimate (Páez and Marco, 2000). Therefore, the area covered by vegetation would determine the amount of light intercepted or absorbed and the rainfall hitting the ground, changing the vertical stratum (Marchesini et al., 2020). Moreover, canopy complexity should facilitate or constrain the dispersion of birds and establish a foraging diversity.
For all bird groups, bird composition revealed habitat preferences, suggesting the existence of different bird assemblages. Climatic variables influencing directly on birds reveal important physiological constraints, such as thermoregulation and water stress (Hawkins et al., 2003), especially in dry forests, where temperatures are extreme (Castaño-Villa et al., 2014; Pollock et al., 2015). Birds of open habitats tolerate higher climate stresses than forest specialist birds, which may experience limited responses to disturbances in vegetation structure and climate conditions (Tabarelli et al., 2012). Although some dry-forest birds, such as Furnarius cristatus, Cranioleuca pyrrophia, Rhinocrypta lanceolata, and Stigmatura budytoides, as well as large-body size birds like Nothura maculosa, Chunga burmeisteri, Nothoprocta cinerascens, and Ortalis canicollis, were associated with open habitats, they might have high dependence to the dry forest resources (Dardanelli et al., 2006). The habitat structure affects the composition of birds, which may explain the coexistence of species (Castaño-Villa et al., 2014), including large-bodied bird species more common in thinned or open habitats (Remsen and Robinson, 1990). Large body size birds registered in our study occupied a specific niche and may exclude several species from the denser vegetation (Pearson, 1971). The association of species diversity and vegetation structure became very frequent in ecology after the seminal paper of MacArthur and MacArthur (1961). Since then, several studies have been published to show such an association. In tropical regions, such as the Amazonia, bird species richness was higher in primary forests than in secondary forests, and the number of strata and density of leaves explained the difference between the environments (Coddington et al., 2023).
Our third main finding correlates the richness of all birds to increases in temperature. On the contrary, the most important variable explaining variations of dry-forest birds was understory density. This emphasized different responses when focusing on all birds to more specialist birds and the importance of vegetation structure in the dry forest, even lower strata, especially for the dry season. Birds’ responses corresponded to the beginning of the day. Thus, the temperature may increase bird activities. Other studies found similar responses, being temperature, the most important environmental factor driving birds’ responses in a dry forest of Colombia and the Argentinian Dry Chaco (Loaiza et al., 2020; Zelaya et al., 2022). Yet, it also indicates that temperature is regulated by the structural growth of forest vegetation (Zelaya et al., 2022) and the type of vegetation (i.e., forest or scrubland) (Loaiza et al., 2020). The richness of dry-forest birds increases with understory density in the Chaco. Canopy density decreases during the dry season, and only older forests maintain a closed canopy cover (Kalacska et al., 2005). Birds of the understory stratum are less impacted by direct sunlight than canopy birds (Walther, 2002). Therefore, this stratum may contribute the most to foliage density in the dry forest (Pearson, 1971) especially during the dry season. Importantly, dry-forest birds are best adapted to dry forest conditions yet susceptible to habitat transformation (Tabarelli et al., 2012). Indeed, to avoid contrasting habitats, birds of the Dry Chaco adapted their activities during the day. It means a vertical shift in the stratum distribution, beginning from the upper to the lower strata during the day (Pearson, 1971) or moving to a mature forest with a more stable microclimate.
Our four main findings highlight the key role of temperature on bird communities. Even though it may contribute to richness, higher temperatures during the day decrease bird activity. This is especially important considering the dry forest, where temperatures rise during the day by up to 47 °C in summer months, affecting bird activities, with many conservation concerns to maintain an effective microclimate. The richness of all birds increased with temperature, yet higher temperatures during the day decreased birds’ activities. Hence, a rise in temperature during the day may have adverse effects. The Dry Chaco has a semiarid climate with a dry period during the cool winter months. Notably, the dry period is characterized by a substantial reduction in the intensity and duration of the hydrological regimes, reducing vegetation activity (Marchesini et al., 2020). These conditions constrain bird activities, reduced survival in the heat, and desiccation (Woodworth et al., 2018).Additionally, this region is predicted to experience significant climate changes (Siyum, 2020). The predictions highlighted frequent dry events and the global average temperature increase by 2050, promoting environmental changes that lead to species responses at all scales (Walther et al., 2002). Under these circumstances, vegetation cover plays a key role in water balance during the dry season in semiarid regions (Marchesini et al., 2020; Rodriguez et al., 2020). On the contrary, the predominantly pressure of agricultural expansion continues to threaten the dry forest and, therefore, the regional water balance, including the functioning of this ecosystem in the long term (Gasparri and Baldi, 2013; Rodriguez et al., 2020).
Our study relied on a unique, field-based bird community dataset using acoustic recorders in the Dry Chaco. Still, we count on some limitations to be mentioned. First, our study period corresponded to the dry season. It is well known that vegetation structure fluctuates in the dry and rainy seasons, gradually increasing or decreasing its complexity. During the dry season, for example, the deciduous trees lose their leaves (Loaiza et al., 2020). This affects birds’ behavior and richness (Gonçalves et al., 2017) and may influence both expansions or shrinking of their vertical foraging and resource availability (Pearson, 1971). Even considering that our study was conducted out of the peak of the reproductive season (between November and December) when most birds are acoustically active, we believe the data captured the essential differences between the sampled environment regarding species composition and their responses to micro-climate and vegetation structure. Studies conducted in other seasonally dry tropical forests demonstrated the presence of a higher number of species during the rainy season than in the dry season. Still, the species composition was not strongly dissimilar. Gonçalves and colleagues, for instance (Gonçalves et al., 2017) conducted a year-round study on Northeastern Brazil and recorded a total of 177 bird species, 84.1% recorded during the rainy season and 68.4% during the dry/rainy season transition. They found a 73.6% similarity in the species composition when comparing the two species lists. Second, we are accounting for a local scale assessment, but as we look for the importance of the corridor in the landscape, it is a regional scale. This includes the structure of the landscape (e.g., wider corridors and edge effects), which is known to influence birds of the Chaco (Casenave et al., 1998; Mastrangelo and Gavin, 2014). Third, we do not include disturbances occurring at the corridors (i.e., selective logging, cattle intrusion), which affects the forest structure, partially attributed to forest cover decrees (Gasparri and Baldi, 2013), therefore, undoubtedly influences bird communities (Ribeiro et al., 2021). Finally, interspecific interactions at a local scale (Pearson, 1971), including biotic interactions and competition, may be a critical driver for changing communities at local scales.
Two local vegetation elements mainly explain birds’ composition and richness: tree cover, with a dense canopy harboring birds that avoid open habitats, and understory cover, critical in forests with low canopy (Meynard and Quinn, 2008). On the other hand, bird communities seem to be highly influenced by climate conditions. Both factors are closely related to the corridor’s habitat quality and conservation status (Gonçalves et al., 2017). The climate during the dry season, intensified by forest degradation, reshapes the microenvironment and exacerbates the dry forest’s climate constraints, creating abiotic conditions that may physiologically challenge birds’ activities (Pollock et al., 2015). Previous studies suggested that forest degradation decreases the forest cover, and climate constraints during the dry season altered the forest stratum, negatively impacting the understory vegetation due to water scarcity and frost (Gasparri and Baldi, 2013; Marchesini et al., 2020). The most common forest disturbances in the Dry Chaco include logging, cattle intrusion, firewood, and anthropic fires (Gasparri and Baldi, 2013; Ribeiro et al., 2021). Notably, the low canopy extent and a shrub layer of the Dry Chaco (i.e., canopy cover extent of 15 m) (Páez and Marco, 2000) are highly vulnerable to degradation impacts.
Only a few studies have shown bird communities’ responses to landscape connectivity in the Dry Chaco, finding that corridors analyzed as islands were primarily composed of generalist birds. Otherwise, while connectivity increases, the richness of endemic and forest specialist birds also increases (Areskou, 2001). Birds’ movements were promoted by functional connectivity in the Chaco, favored by the presence of small fragments to slit distances between larger fragments but also reducing the distance between forest patches (Díaz Vélez et al., 2015). We found that birds using canopy and understory cover explained better variation in richness and composition of species. Birds from the canopy can move across open areas. Nevertheless, many understory species are highly dispersal-limited, becoming critical in colonization (Pearson, 1971) unless the patch is contiguous with existing mature forests (Bradfer-Lawrence et al., 2018). Thus, the dispersal abilities of understory species are likely to be more affected than canopy species. Consequently, compositions of the understory stratum may be highly variable within guild structures, an excellent indicator of the disturbance levels (Bradfer-Lawrence et al., 2018; Loaiza et al., 2020).
Biodiversity conservation issuesThe Dry Chaco is experiencing intense human pressure due to exceptionally high rates of land use change, possibly worsened by climate change. Despite the critical need to conserve biodiversity, a persistent lack of awareness and value is placed on these efforts. Additionally, the local government does not provide economic incentives, such as payments for ecosystem services, to encourage conservation. As a result, the region continues to see high financial returns from unsustainable development. Addressing this issue requires creating and implementing effective public policies and conservation management strategies. Without these, achieving sustainable development and ensuring the proper use of renewable natural resources will not be possible (Siyum, 2020).
The two Paraguayan legal instruments previously mentioned (Law 542/95 and Decree 18831/86) created essential landscape elements for maintaining biodiversity in private lands. Although the forest corridors were created to protect productive areas against winds, their role in biodiversity maintenance is relevant. In our study, we registered up to 36 species (45% of all bird species) using such an environment. So, bird species might be using the forest corridors for resource supplementation (sensu Dunning et al., 1992) or as corridors for displacement between large blocks of forests. Corridors are a structural element increasing the connectivity of forest fragments in the landscape of the Dry Chaco. Besides its importance in avoiding erosion in fragmented landscapes, corridors can also provide suitable habitats for bird species. Therefore, it is necessary to call attention to and prioritize corridors under land use and climate change scenarios (Siyum, 2020). As management actions, we suggest adopting best practices and well-planned actions to properly conserve the integrity of these connectors, which guarantees their incursion as protected areas or management areas to avoid vegetation degradation. First, we emphasize the need to maintain wider corridors for significant private lands. Second, to promote the importance of forest corridors as a complementary habitat for some bird species, which campaigns among the land owners could do. Third, we encourage avoiding forest degradation (i.e., selecting logging and cattle intrusion) and focus on restoration priorities, enriching the canopy and understory with scrubland species and ensuring its biological and ecological importance. Studies conducted with medium and large mammals in Amazonia have shown that well-structured corridors can maintain a higher diversity than disturbed ones, being a valid management action when it is not possible to enlarge the areas (Zimbres et al., 2017). Finally, conservation priorities for the vegetation cover in Dry Chaco must be mandatory, as temperature rise is predicted in climate change scenarios for the future. Considering that private landowners hold most of the area in the region, a program to incentivize the creation of private protected areas should be implemented.
FundingThe Rufford Small Grants Foundationsupported this work under Grant number 28259-1 andCAPES/PROEX under Grant number0769/2020.
Data availabilityAll data are available upon request.
We thank the Brazilian Ministry of Education (CAPES) for RC’s PhD scholarship. We also thank Rufford Small Grants Foundation (#28259-1) and the Graduate Program in Ecology, University of Brasilia (CAPES/PROEX) for help in the purchase of recordings and the financial support for the fieldwork in the Chaco, Paraguay. We are indebted to Hugo del Castillo and Lucas Cañete for assistance in the fieldwork and to all landowners for granting access to their properties.










